Close
Publizieren
Besondere Sammlungen
Digitalisierungsservice
Hilfe
Impressum
Datenschutz
Search Details
Quicksearch:
OK
Result-List
Title
Title
Content
Content
Page
Page
Search Book
Modelling and forecasting financial and economic time series using different semiparametric[...]
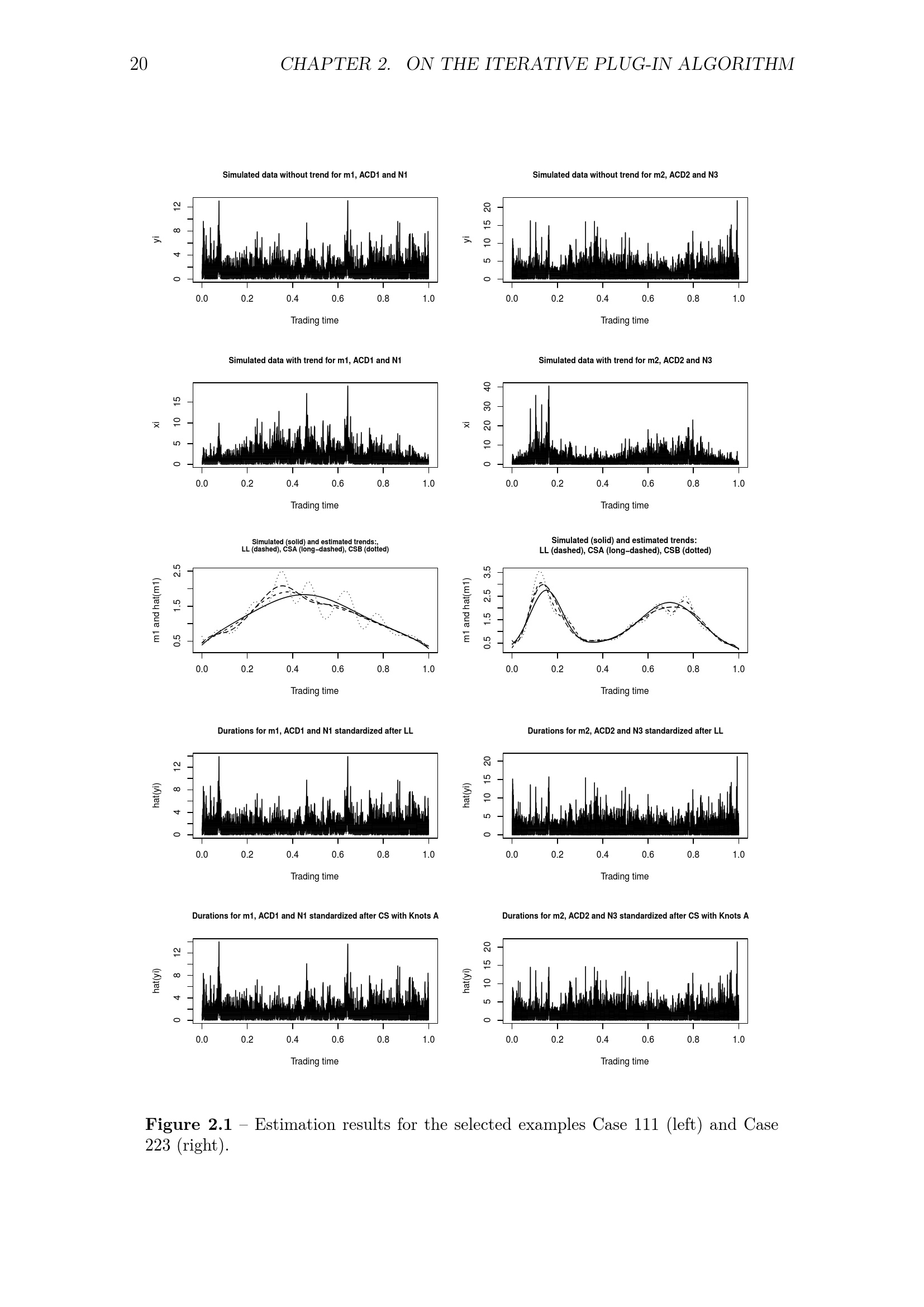
On the iterative plug-in algorithm
The simulation study
Performance of the selected bandwidth
Loading...
Dissertation (PhD)
Modelling and forecasting financial and economic time series using different semiparametric ACD models / von M.A. Sarah Forstinger
Place and Date of Creation
Paderborn
2018
JPEG-Download
avaibable widths
JPEG large
JPEG original
show thumbnails
hide thumbs