Schliessen
Publizieren
Besondere Sammlungen
Digitalisierungsservice
Hilfe
Impressum
Datenschutz
Detailsuche
Schnellsuche:
OK
Ergebnisliste
Titel
Titel
Inhalt
Inhalt
Seite
Seite
Im Werk suchen
Improvement of software requirements quality based on systems engineering
4 Early Timing Analysis based on Software Requirements Specifications
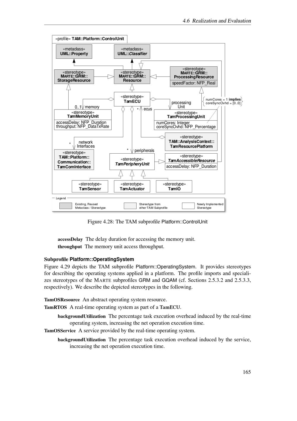
4.6 Realization and Evaluation
4.6.1 Implementation
4.6.1.1 The Timing Analysis Modeling (TAM) Profile in Detail
Subprofile Platform::OperatingSystem
Wird geladen ...
Dissertation
Improvement of software requirements quality based on systems engineering / by Jörg Holtmann ; Referees: Prof. Dr.-Ing. Roman Dumitrescu, Prof. Dr. rer. nat. Joel Greenyer
Entstehung
Paderborn
2019
JPEG-Download
verfügbare Breiten
JPEG groß
JPEG original
Seiten an
Seiten aus