Close
Publizieren
Besondere Sammlungen
Digitalisierungsservice
Hilfe
Impressum
Datenschutz
Search Details
Quicksearch:
OK
Result-List
Title
Title
Content
Content
Page
Page
Search Book
Improvement of software requirements quality based on systems engineering
4 Early Timing Analysis based on Software Requirements Specifications
4.6 Realization and Evaluation
4.6.1 Implementation
4.6.1.1 The Timing Analysis Modeling (TAM) Profile in Detail
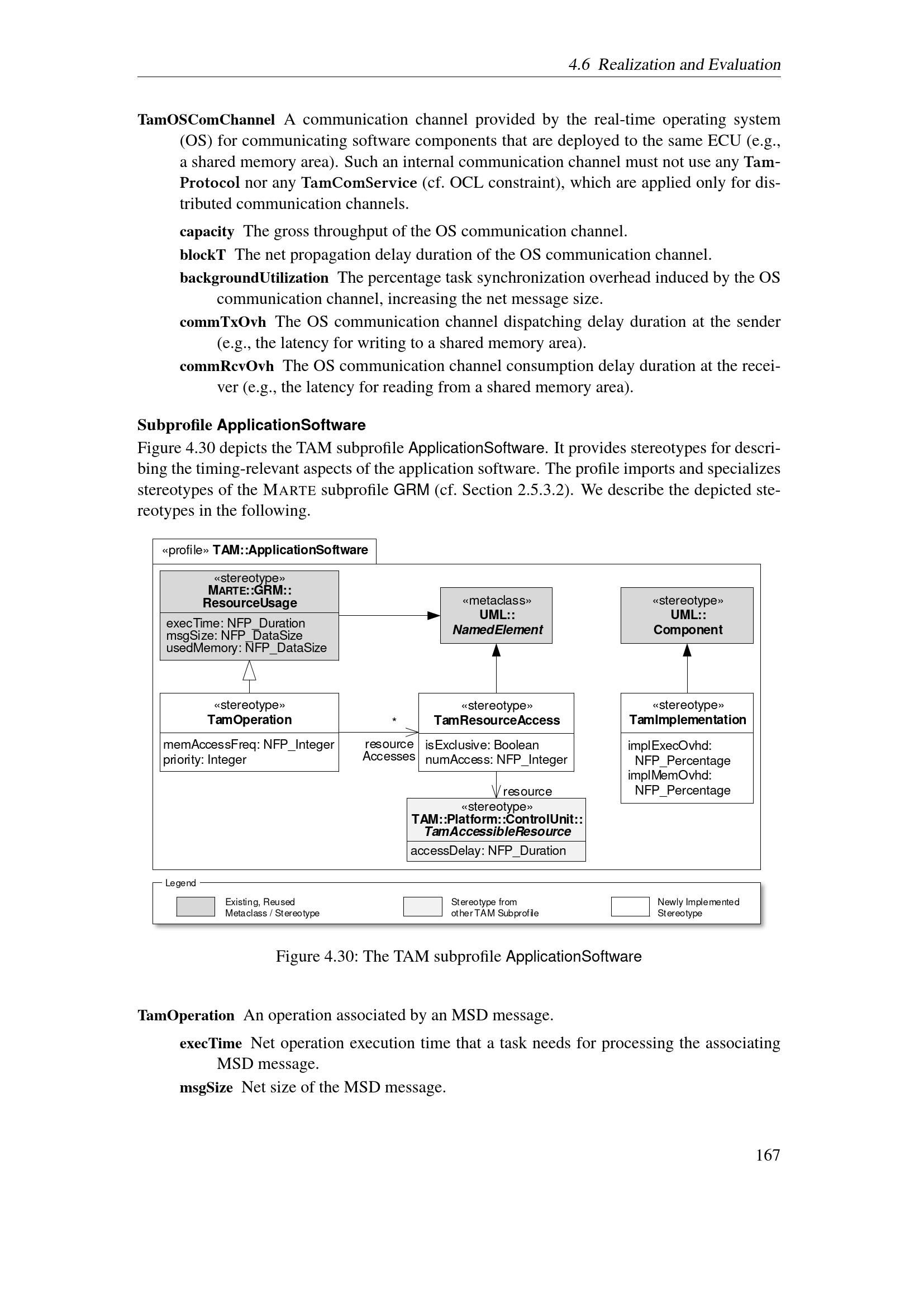
Subprofile ApplicationSoftware
Loading...
Dissertation (PhD)
Improvement of software requirements quality based on systems engineering / by Jörg Holtmann ; Referees: Prof. Dr.-Ing. Roman Dumitrescu, Prof. Dr. rer. nat. Joel Greenyer
Place and Date of Creation
Paderborn
2019
JPEG-Download
avaibable widths
JPEG large
JPEG original
show thumbnails
hide thumbs