Schliessen
Publizieren
Besondere Sammlungen
Digitalisierungsservice
Hilfe
Impressum
Datenschutz
Detailsuche
Schnellsuche:
OK
Ergebnisliste
Titel
Titel
Inhalt
Inhalt
Seite
Seite
Im Werk suchen
Computationally efficient modelling and precision position and force control of SMA[...]
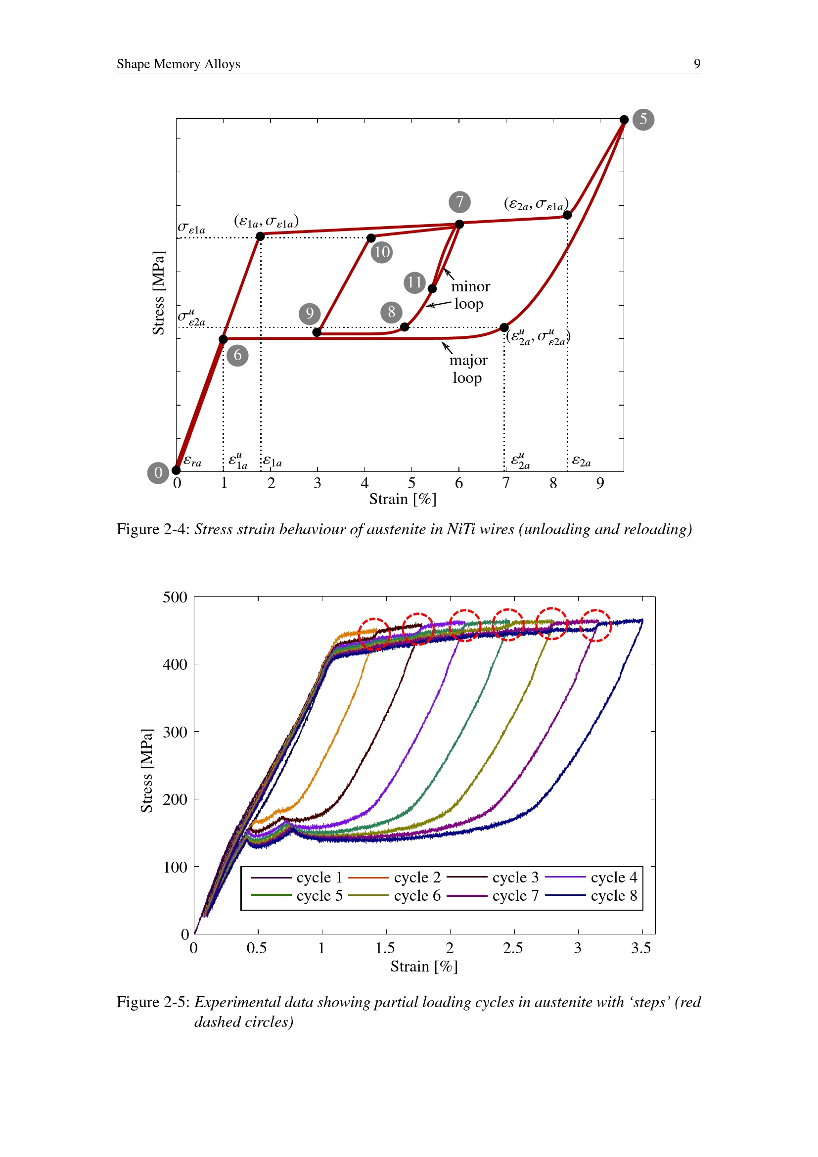
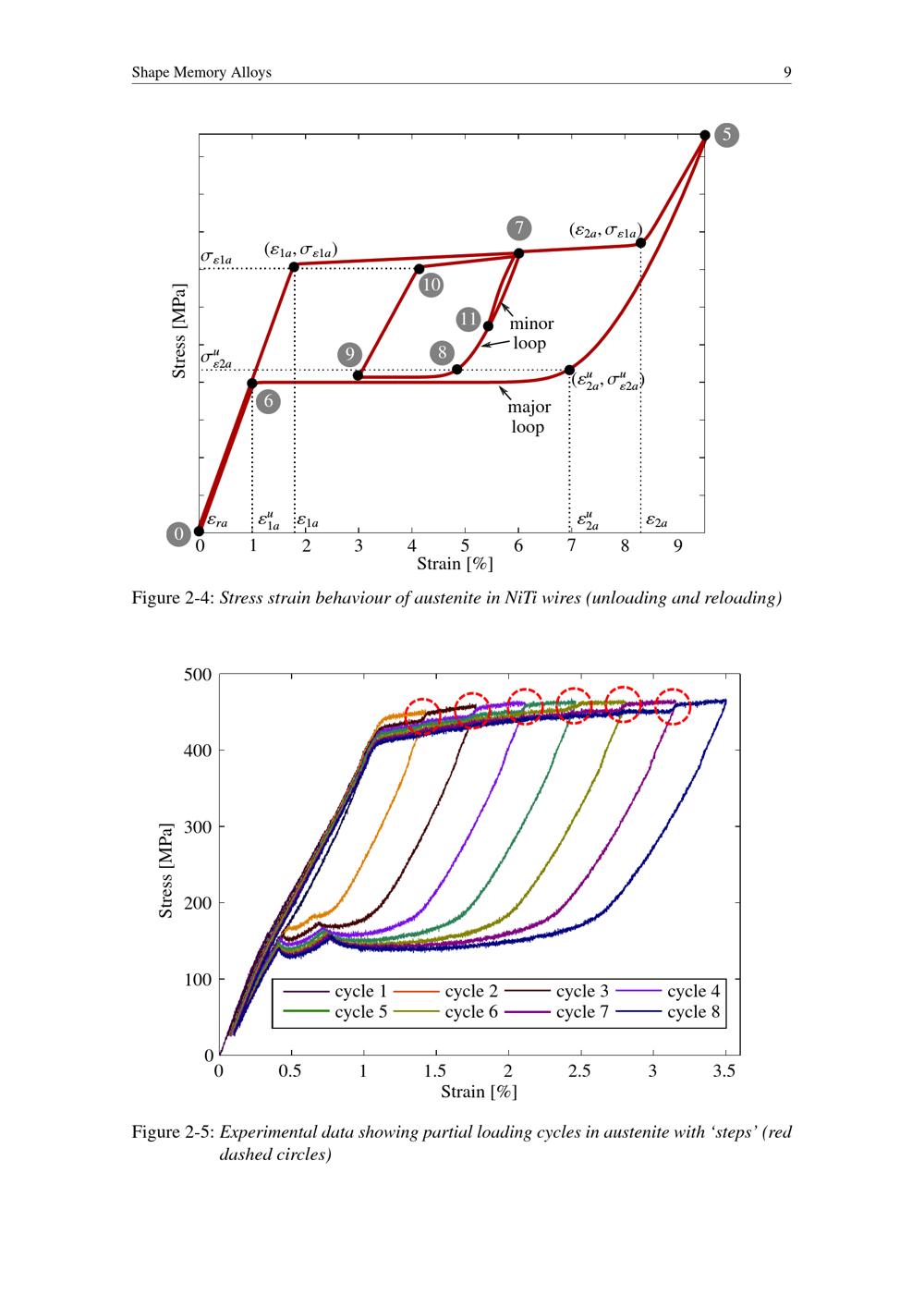
Shape Memory Alloys
Stress Strain Behaviour: Austenite
Austenite reloading behaviour
Wird geladen ...
Dissertation
Computationally efficient modelling and precision position and force control of SMA actuators / Arathi Pai
Entstehung
Paderborn
2020
JPEG-Download
verfügbare Breiten
JPEG groß
JPEG original
Seiten an
Seiten aus