Close
Publizieren
Besondere Sammlungen
Digitalisierungsservice
Hilfe
Impressum
Datenschutz
Search Details
Quicksearch:
OK
Result-List
Title
Title
Content
Content
Page
Page
Search Book
Wahlordnung für die Wahl zum Fakultätsrat und für die Wahl des Dekanats bzw. des*r[...]
Teil I Wahl zum Fakultätsrat
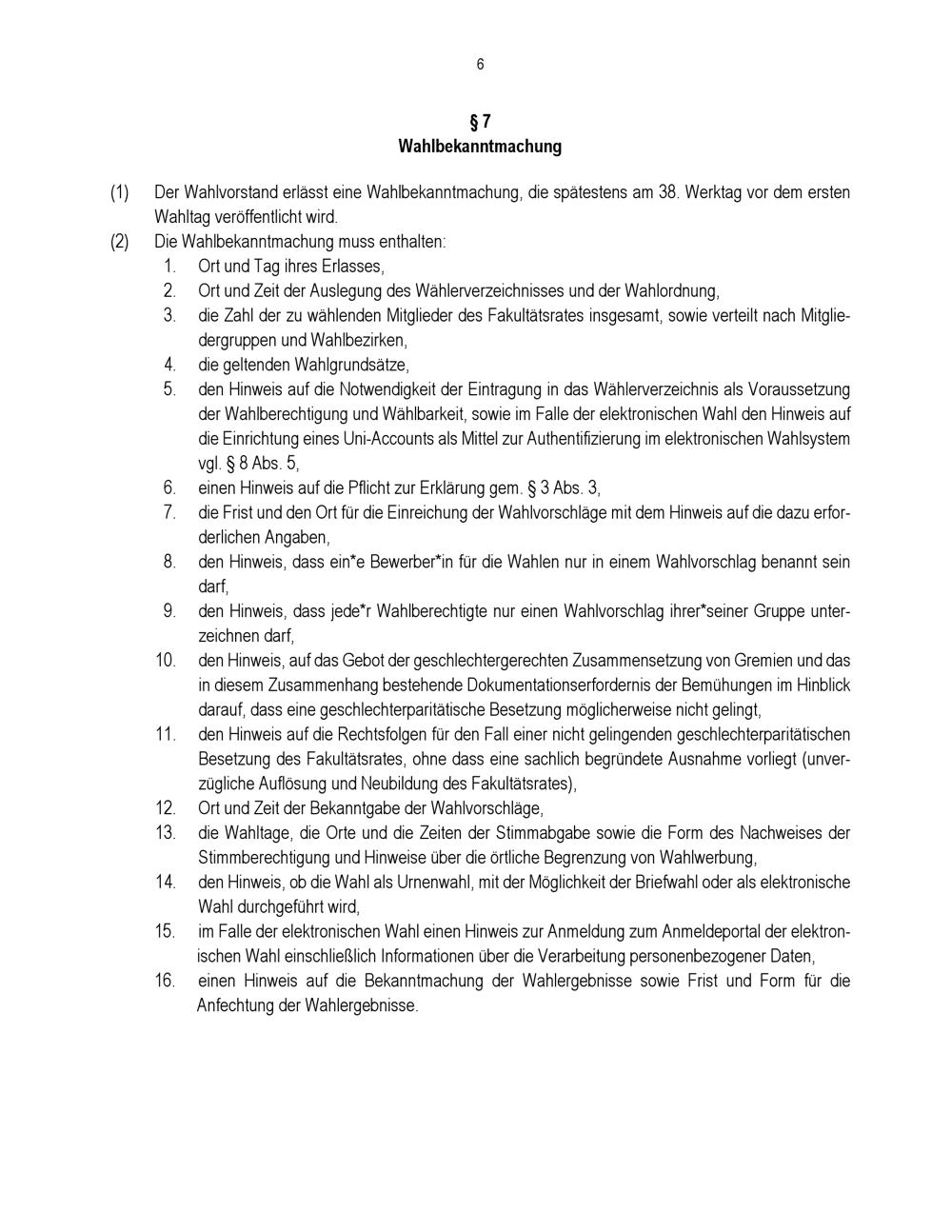
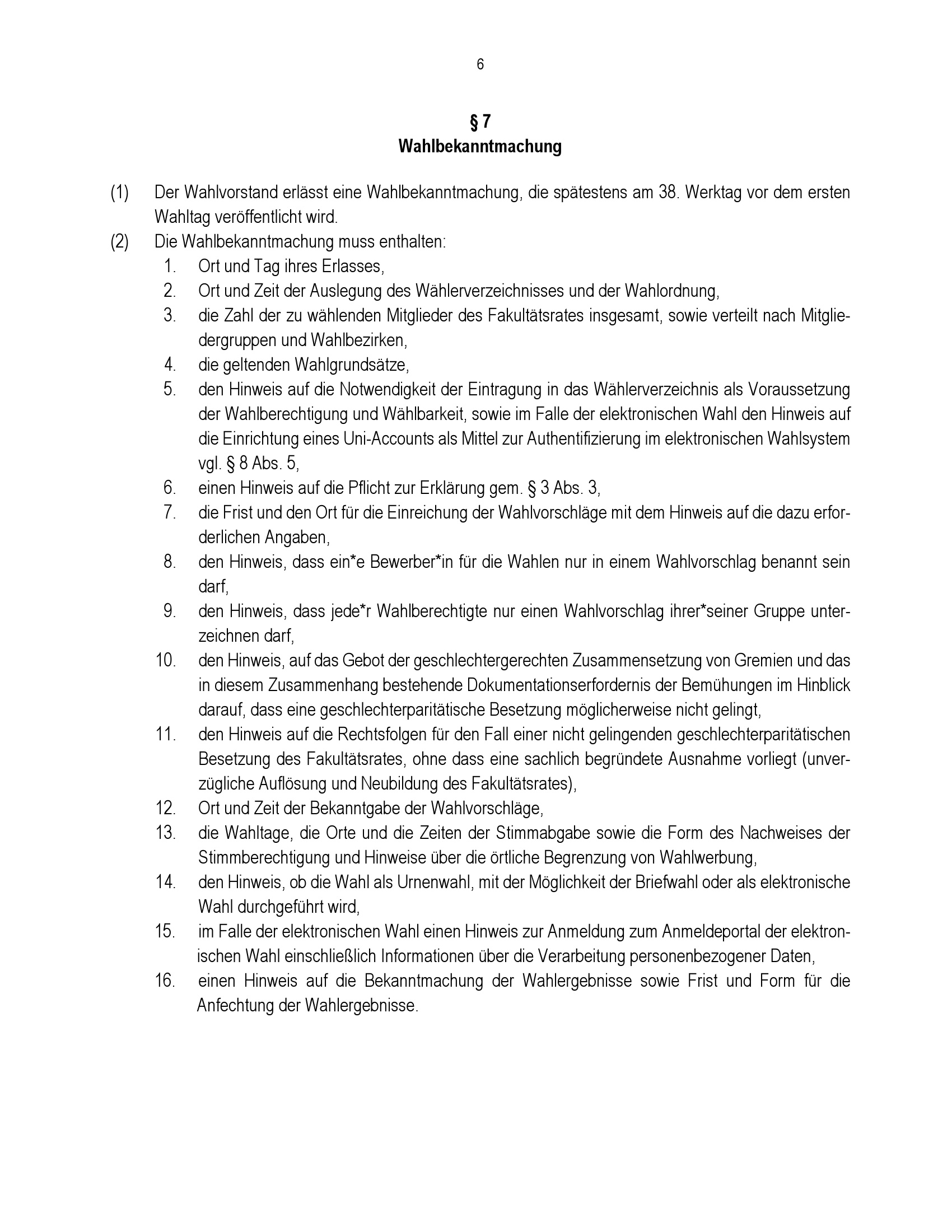
§ 7 Wahlbekanntmachung
Loading...
Monograph
Wahlordnung für die Wahl zum Fakultätsrat und für die Wahl des Dekanats bzw. des*r Dekans*in und des*r Prodekans*in der Fakultät für Kulturwissenschaften an der Universität Paderborn : vom 19. Mai 2021
Place and Date of Creation
Paderborn
2021
JPEG-Download
avaibable widths
JPEG large
JPEG original
show thumbnails
hide thumbs