Schliessen
Publizieren
Besondere Sammlungen
Digitalisierungsservice
Hilfe
Impressum
Datenschutz
Detailsuche
Schnellsuche:
OK
Ergebnisliste
Titel
Titel
Inhalt
Inhalt
Seite
Seite
Im Werk suchen
IngridKG
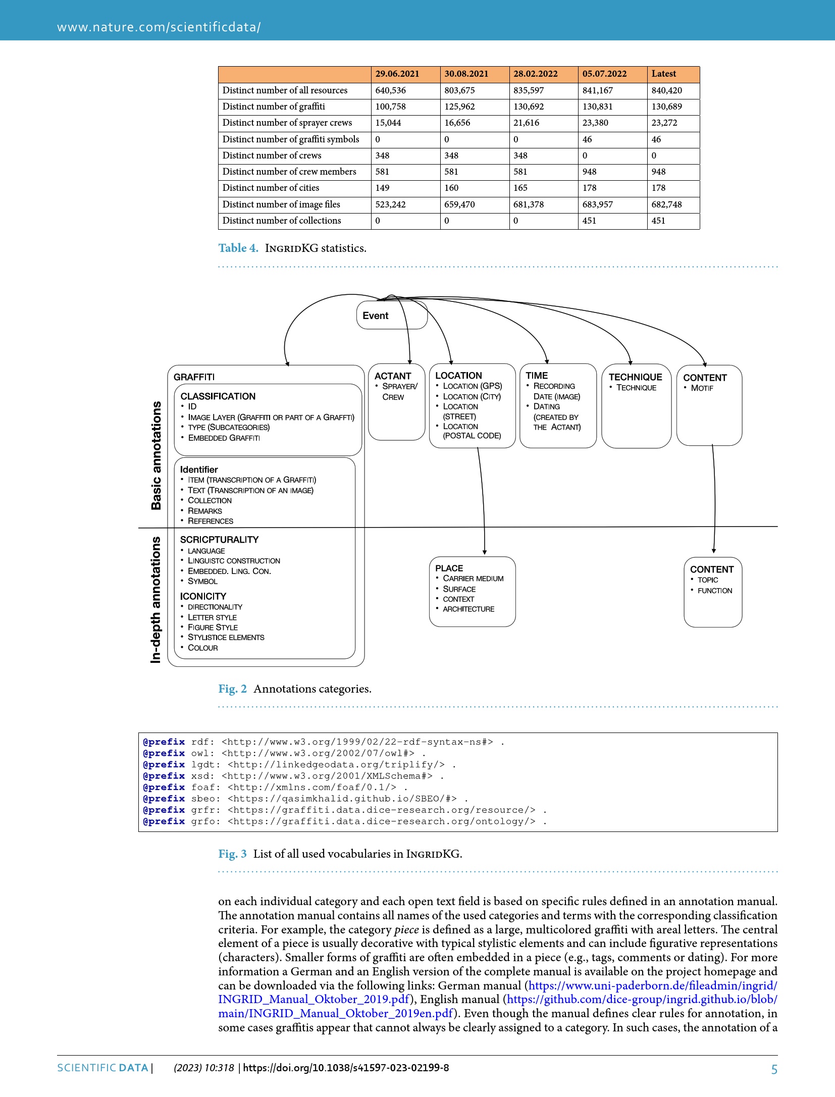
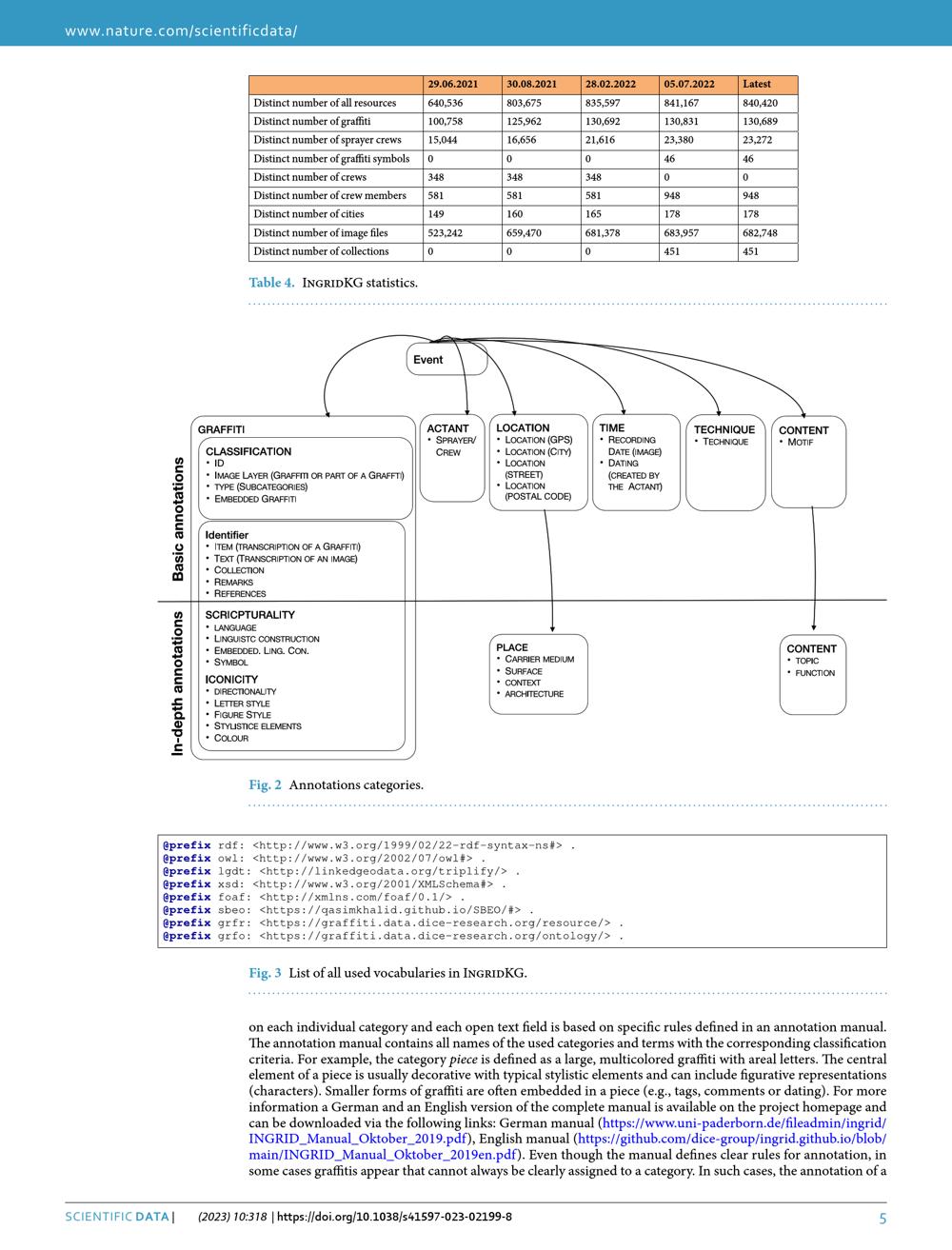
Fig. 2 Annotations categories.
Wird geladen ...
Aufsatz in einer Zeitschrift
IngridKG : a FAIR knowledge graph of graffiti / Mohamed Ahmed Sherif, Ana Alexandra Morim da Silva, Svetlana Pestryakova, Abdullah Fathi Ahmed, Sven Niemann & Axel-Cyrille Ngonga Ngomo
Entstehung
Paderborn
2023
JPEG-Download
verfügbare Breiten
JPEG groß
JPEG original
Seiten an
Seiten aus