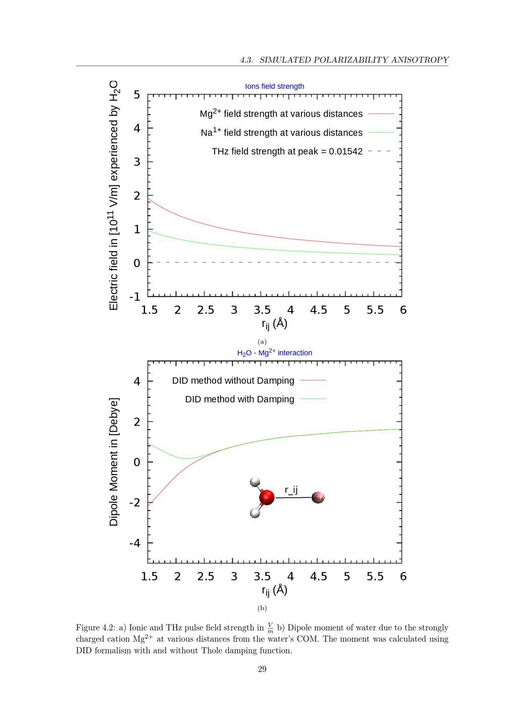
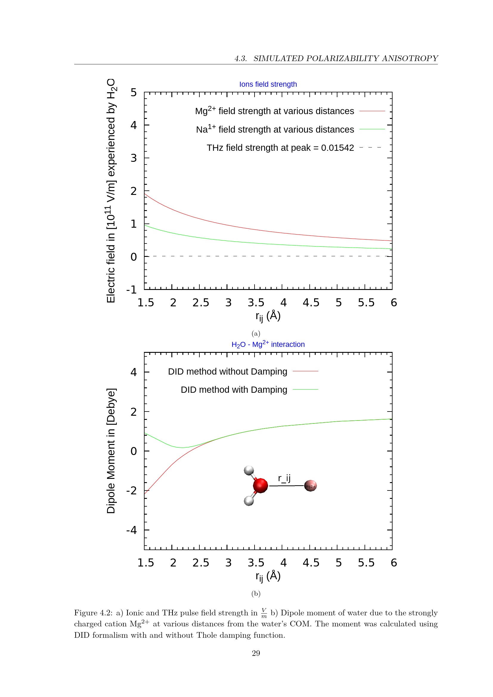
Dissertation
Ultrafast intramolecular and intermolecular energy transfer of water molecules in pure liquid water and aqueous salt systems / by Naveen Kumar Kaliannan ; under the guidance of Prof. Dr. Thomas D. Kühne, Prof. Dr. Matthias Bauer, Dr. Hossam Elgabarty
JPEG-Download
verfügbare Breiten
