Schliessen
Publizieren
Besondere Sammlungen
Digitalisierungsservice
Hilfe
Impressum
Datenschutz
Detailsuche
Schnellsuche:
OK
Ergebnisliste
Titel
Titel
Inhalt
Inhalt
Seite
Seite
Im Werk suchen
Specification and verification of security protocols and their utilization in scenario-based[...]
3 Specification of Security MSDs
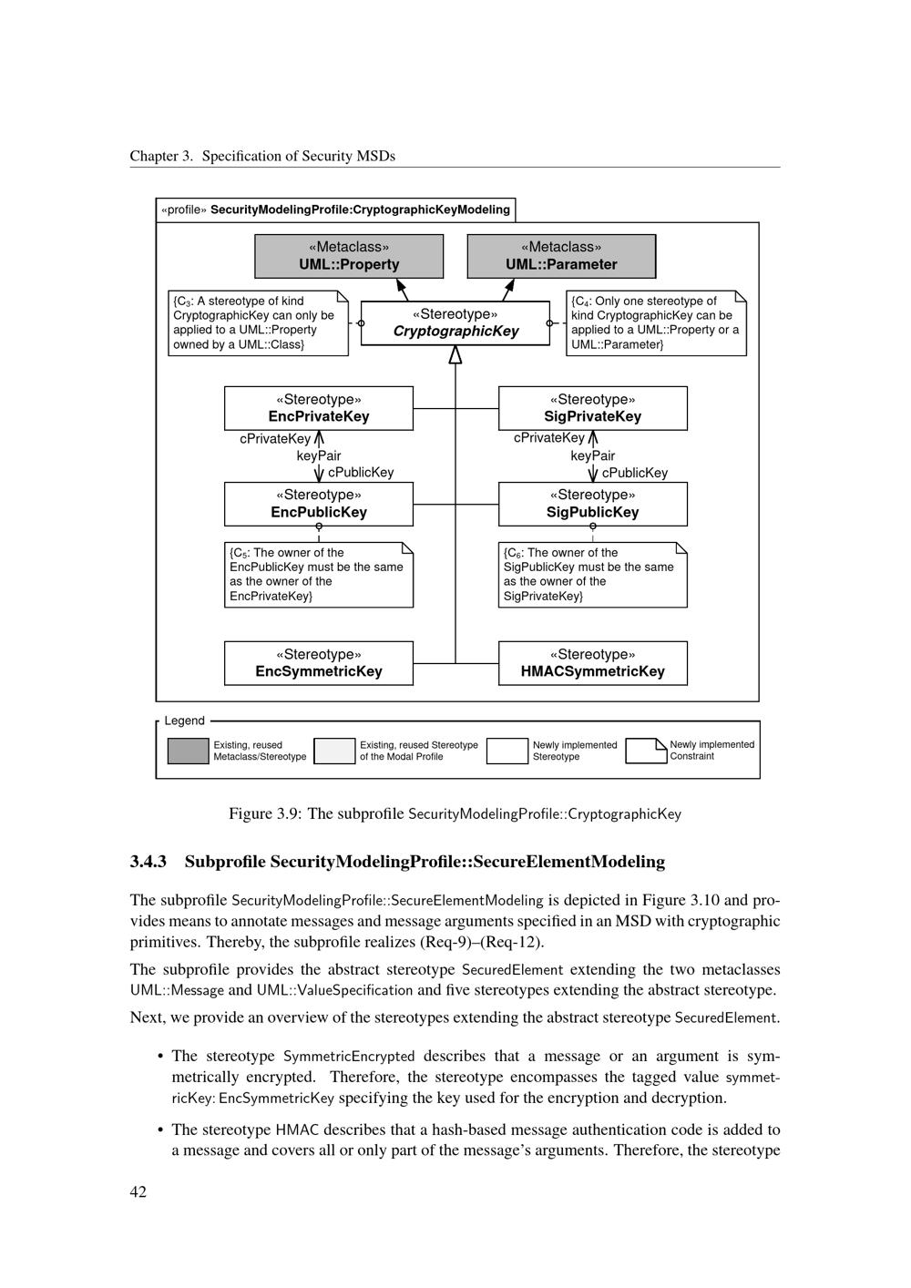
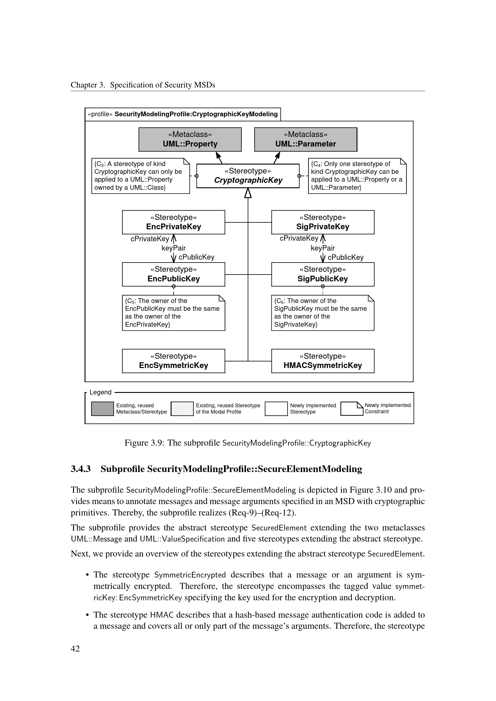
3.4 The Security Modeling Profile in Detail
3.4.3 Subprofile SecurityModelingProfile::SecureElementModeling
Wird geladen ...
Dissertation
Specification and verification of security protocols and their utilization in scenario-based requirements engineering / by Thorsten Koch ; supervised by: Prof. Dr. Eric Bodden
Entstehung
Paderborn
2024
JPEG-Download
verfügbare Breiten
JPEG groß
JPEG original
Seiten an
Seiten aus