Close
Publizieren
Besondere Sammlungen
Digitalisierungsservice
Hilfe
Impressum
Datenschutz
Search Details
Quicksearch:
OK
Result-List
Title
Title
Content
Content
Page
Page
Search Book
Specification and verification of security protocols and their utilization in scenario-based[...]
3 Specification of Security MSDs
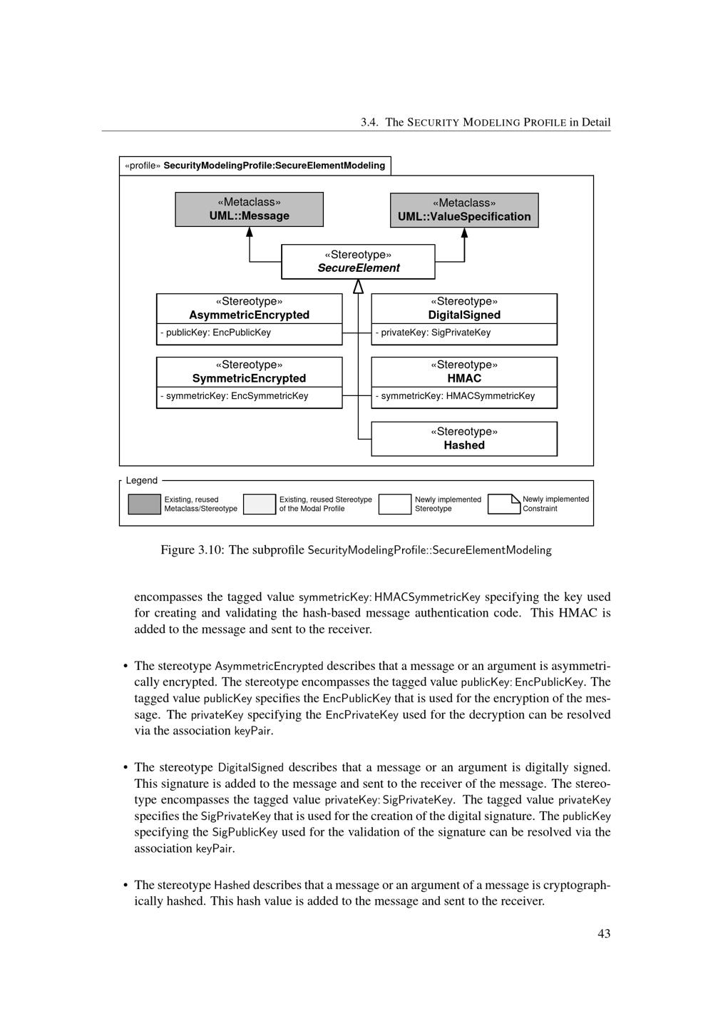
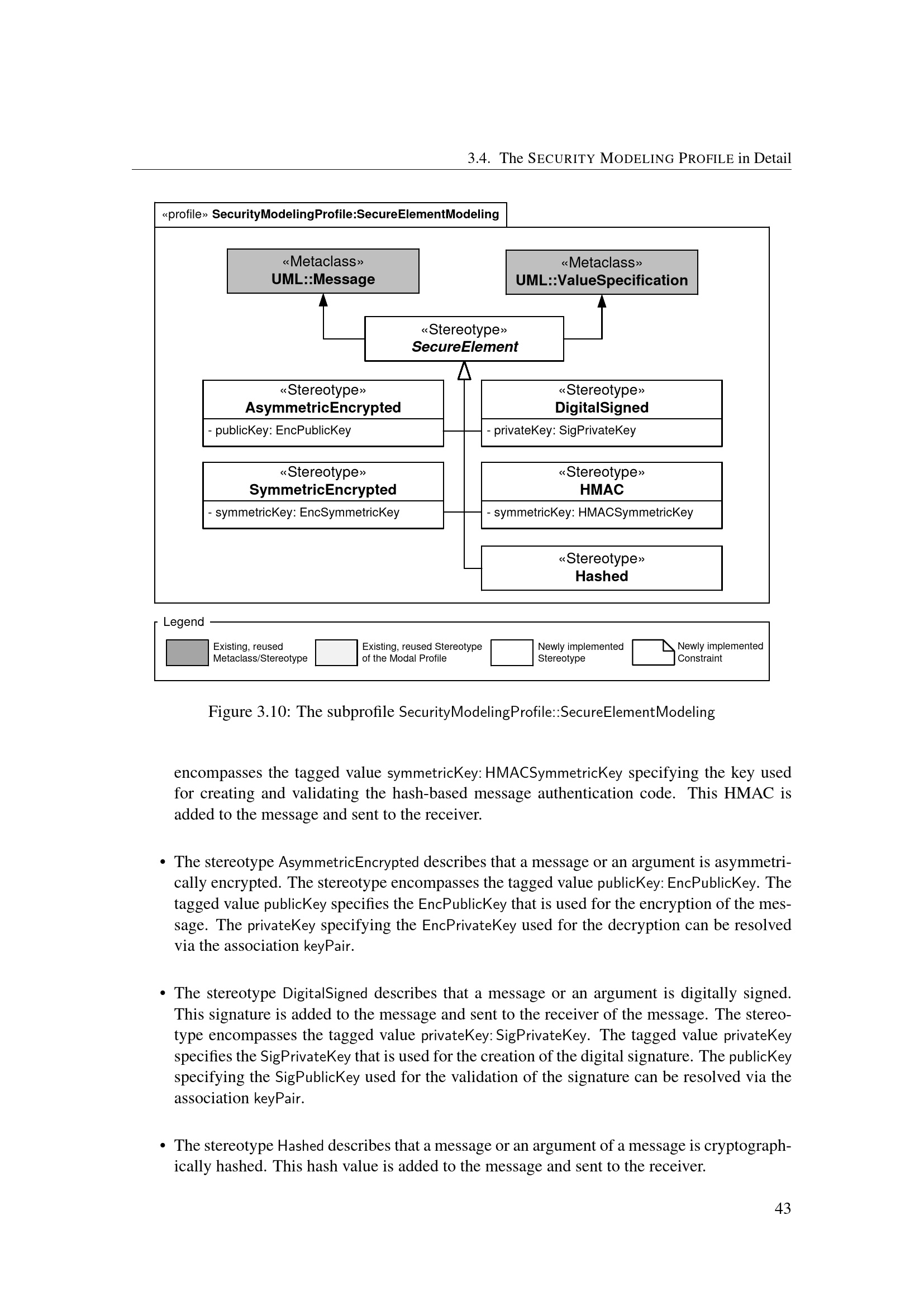
3.4 The Security Modeling Profile in Detail
3.4.4 Metamodel SecurityModelingProfile::SecurityAssignment
Loading...
Dissertation (PhD)
Specification and verification of security protocols and their utilization in scenario-based requirements engineering / by Thorsten Koch ; supervised by: Prof. Dr. Eric Bodden
Place and Date of Creation
Paderborn
2024
JPEG-Download
avaibable widths
JPEG large
JPEG original
show thumbnails
hide thumbs