Schliessen
Publizieren
Besondere Sammlungen
Digitalisierungsservice
Hilfe
Impressum
Datenschutz
Detailsuche
Schnellsuche:
OK
Ergebnisliste
Titel
Titel
Inhalt
Inhalt
Seite
Seite
Im Werk suchen
Konfigurierbare Hardwarebeschleuniger für selbst-organisierende Karten
A Weitere Untersuchungen SOM-Algorithmus
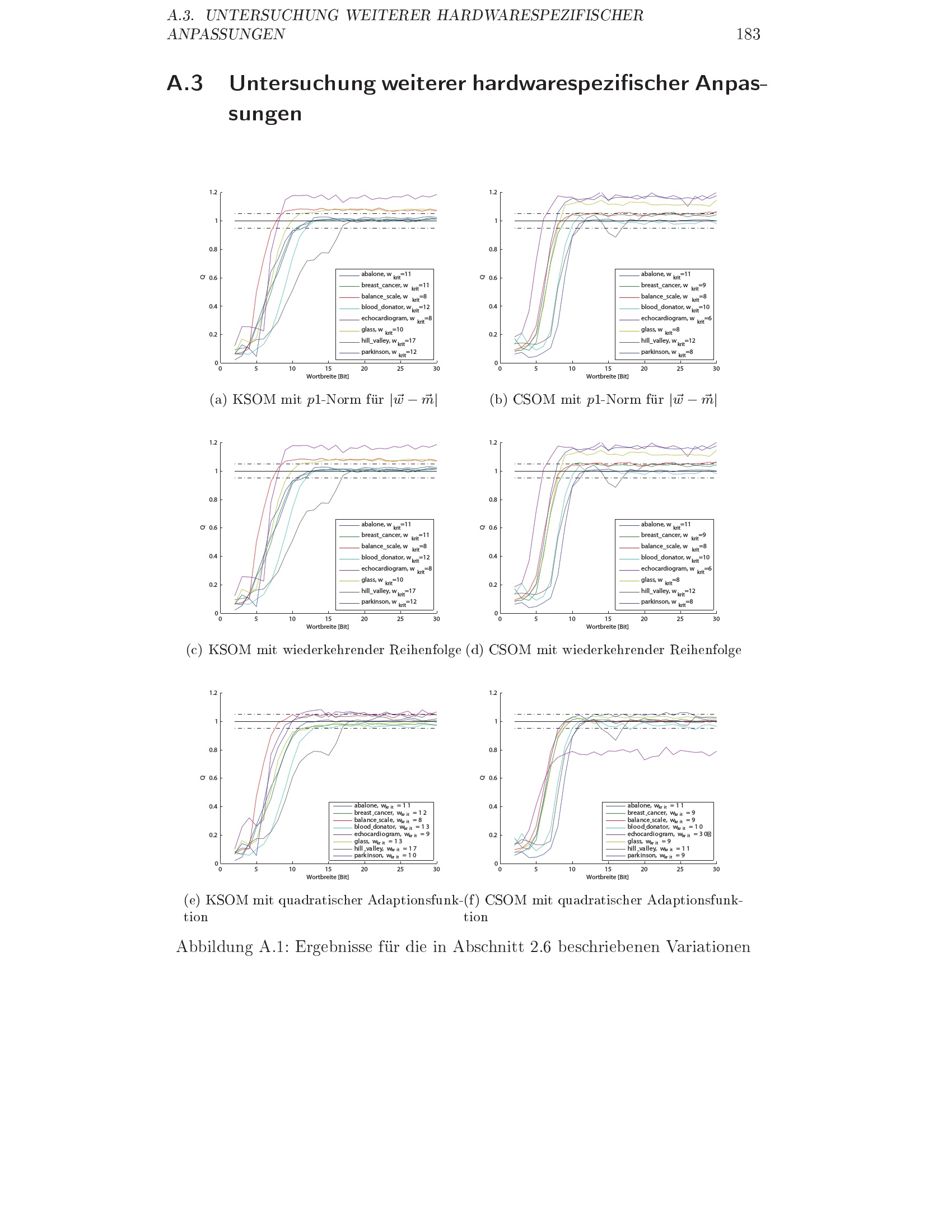
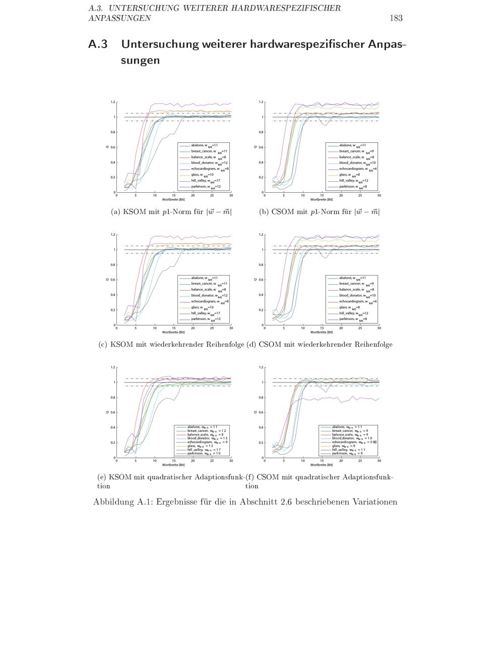
A.3 Untersuchung weiterer hardwarespezifischer Anpassungen
Wird geladen ...
Dissertation
Konfigurierbare Hardwarebeschleuniger für selbst-organisierende Karten / Christopher Pohl
Entstehung
2010
JPEG-Download
verfügbare Breiten
JPEG groß
JPEG original
Seiten an
Seiten aus