Schliessen
Publizieren
Besondere Sammlungen
Digitalisierungsservice
Hilfe
Impressum
Datenschutz
Detailsuche
Schnellsuche:
OK
Ergebnisliste
Titel
Titel
Inhalt
Inhalt
Seite
Seite
Im Werk suchen
Management of uncertainty and inconsistency in database reengineering processes
CHAPTER 4 GFRN as a Basis for Legacy Schema Analys...
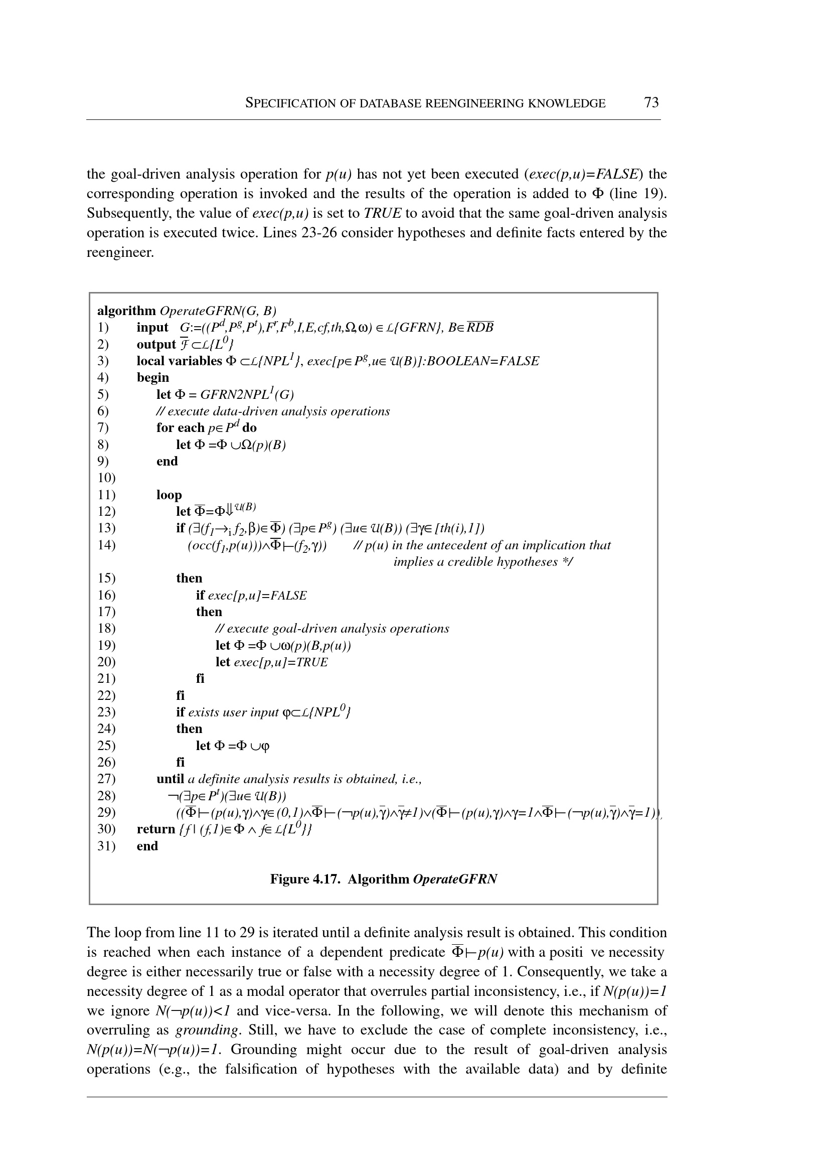
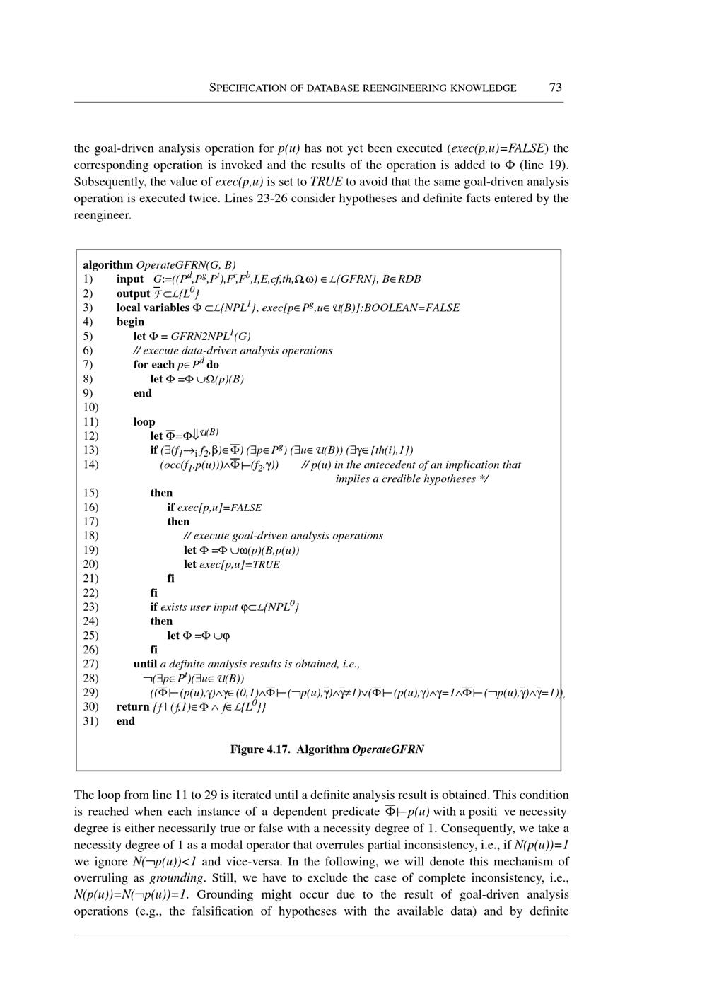
algorithm explanation
1) input G:=((Pd,Pg,Pt),Fr,Fb,I,E,cf,th,W,w) ŒL{GF...
Wird geladen ...
Dissertation
Management of uncertainty and inconsistency in database reengineering processes / Jens H. Jahnke
Entstehung
1999
JPEG-Download
verfügbare Breiten
JPEG groß
JPEG original
Seiten an
Seiten aus