Schliessen
Publizieren
Besondere Sammlungen
Digitalisierungsservice
Hilfe
Impressum
Datenschutz
Detailsuche
Schnellsuche:
OK
Ergebnisliste
Titel
Titel
Inhalt
Inhalt
Seite
Seite
Im Werk suchen
Management of uncertainty and inconsistency in database reengineering processes
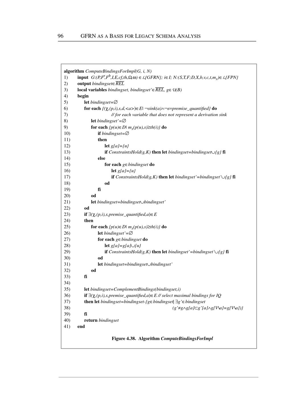
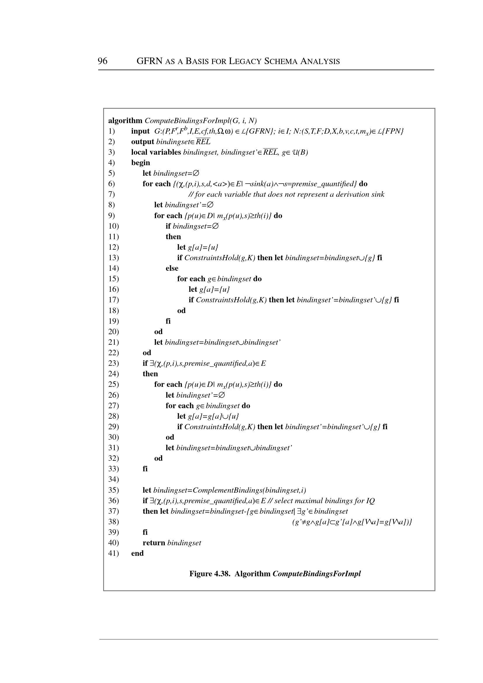
CHAPTER 4 GFRN as a Basis for Legacy Schema Analys...
dealing with IQs
1) input G:(P,Fr,Fb,I,E,cf,th,W,w) ŒL{GFRN}; iŒI; ...
Wird geladen ...
Dissertation
Management of uncertainty and inconsistency in database reengineering processes / Jens H. Jahnke
Entstehung
1999
JPEG-Download
verfügbare Breiten
JPEG groß
JPEG original
Seiten an
Seiten aus