Schliessen
Publizieren
Besondere Sammlungen
Digitalisierungsservice
Hilfe
Impressum
Datenschutz
Detailsuche
Schnellsuche:
OK
Ergebnisliste
Titel
Titel
Inhalt
Inhalt
Seite
Seite
Im Werk suchen
Struktur- und verhaltensbasierte Entwurfsmustererkennung
Grundlagen
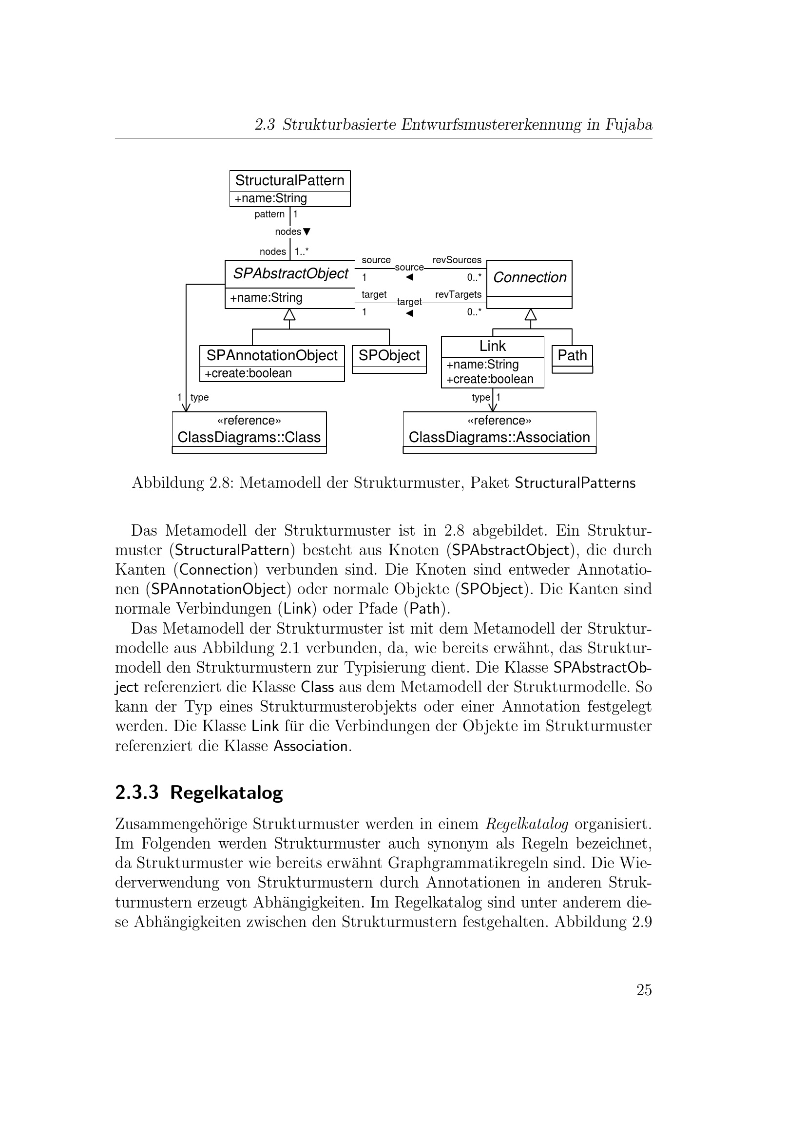
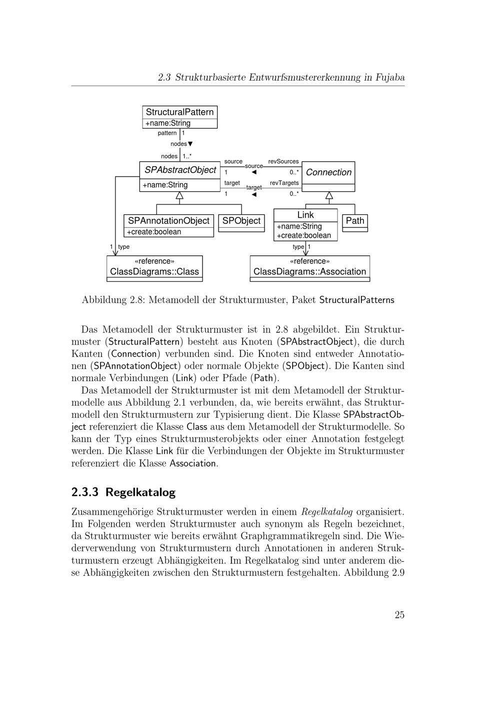
Strukturbasierte Entwurfsmustererkennung in Fujaba
Regelkatalog
Wird geladen ...
Dissertation
Struktur- und verhaltensbasierte Entwurfsmustererkennung / von Lothar Wendehals
Entstehung
2007
JPEG-Download
verfügbare Breiten
JPEG groß
JPEG original
Seiten an
Seiten aus