Schliessen
Publizieren
Besondere Sammlungen
Digitalisierungsservice
Hilfe
Impressum
Datenschutz
Detailsuche
Schnellsuche:
OK
Ergebnisliste
Titel
Titel
Inhalt
Inhalt
Seite
Seite
Im Werk suchen
A predictive potential field concept for shared vehicle guidance
Potential Field based Vehicle Guidance Control
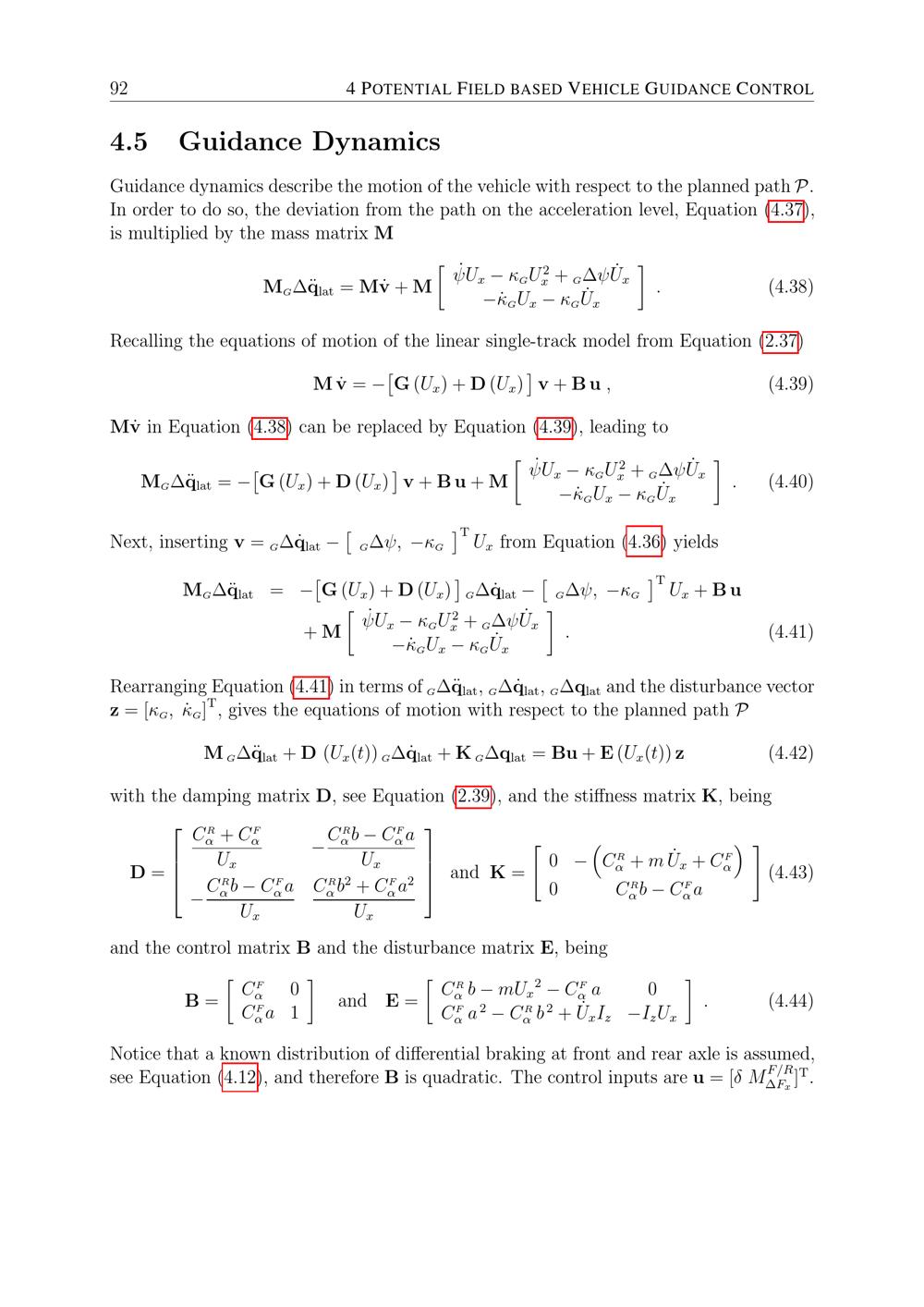
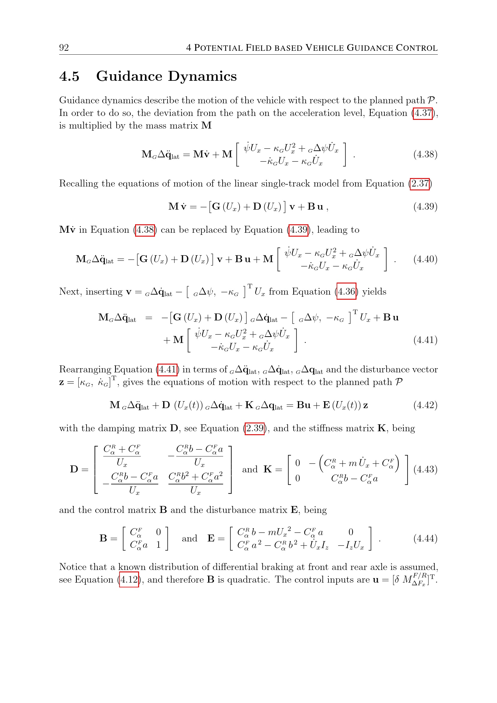
Guidance Dynamics
Wird geladen ...
Dissertation
A predictive potential field concept for shared vehicle guidance / Thorsten Brandt
Entstehung
2007
JPEG-Download
verfügbare Breiten
JPEG groß
JPEG original
Seiten an
Seiten aus