Schliessen
Publizieren
Besondere Sammlungen
Digitalisierungsservice
Hilfe
Impressum
Datenschutz
Detailsuche
Schnellsuche:
OK
Ergebnisliste
Titel
Titel
Inhalt
Inhalt
Seite
Seite
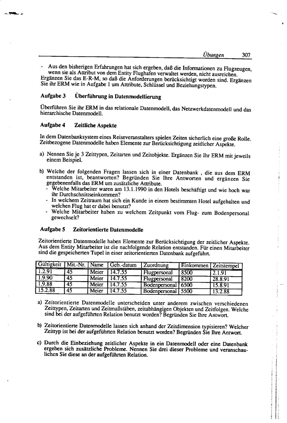
Datenmanagement
Seite 315
Wird geladen ...
Monographie
Datenmanagement : Datenbanken und betriebliche Datenmodellierung
Entstehung
München [u.a.]
1992
JPEG-Download
verfügbare Breiten
JPEG groß
JPEG original
Seiten an
Seiten aus