Schliessen
Publizieren
Besondere Sammlungen
Digitalisierungsservice
Hilfe
Impressum
Datenschutz
Detailsuche
Schnellsuche:
OK
Ergebnisliste
Titel
Titel
Inhalt
Inhalt
Seite
Seite
Im Werk suchen
Practical algorithms for clustering and modeling large data sets
On cluster analysis
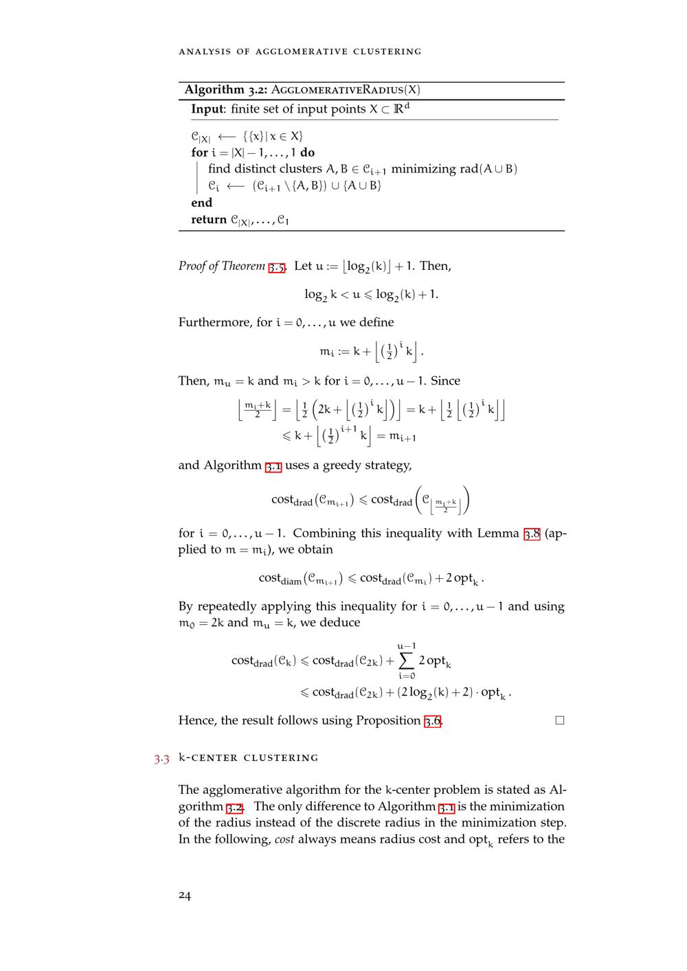
Analysis of Agglomerative Clustering
k-center clustering
Wird geladen ...
Dissertation
Practical algorithms for clustering and modeling large data sets : analysis and improvements
Entstehung
2014
JPEG-Download
verfügbare Breiten
JPEG groß
JPEG original
Seiten an
Seiten aus