Schliessen
Publizieren
Besondere Sammlungen
Digitalisierungsservice
Hilfe
Impressum
Datenschutz
Detailsuche
Schnellsuche:
OK
Ergebnisliste
Titel
Titel
Inhalt
Inhalt
Seite
Seite
Im Werk suchen
Improvement of software requirements quality based on systems engineering
3 Integrated Systems Engineering and Software Requirements Engineering
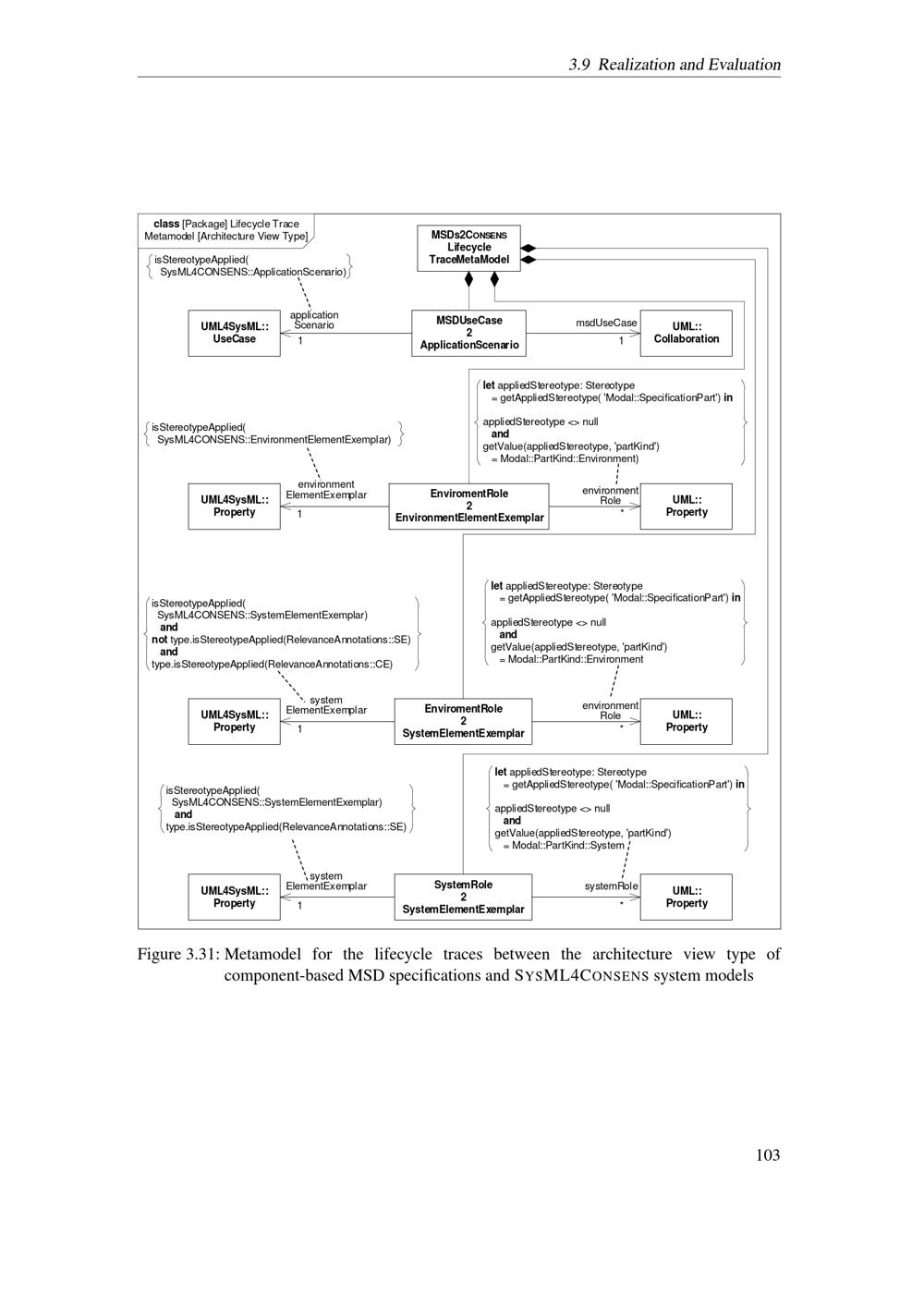
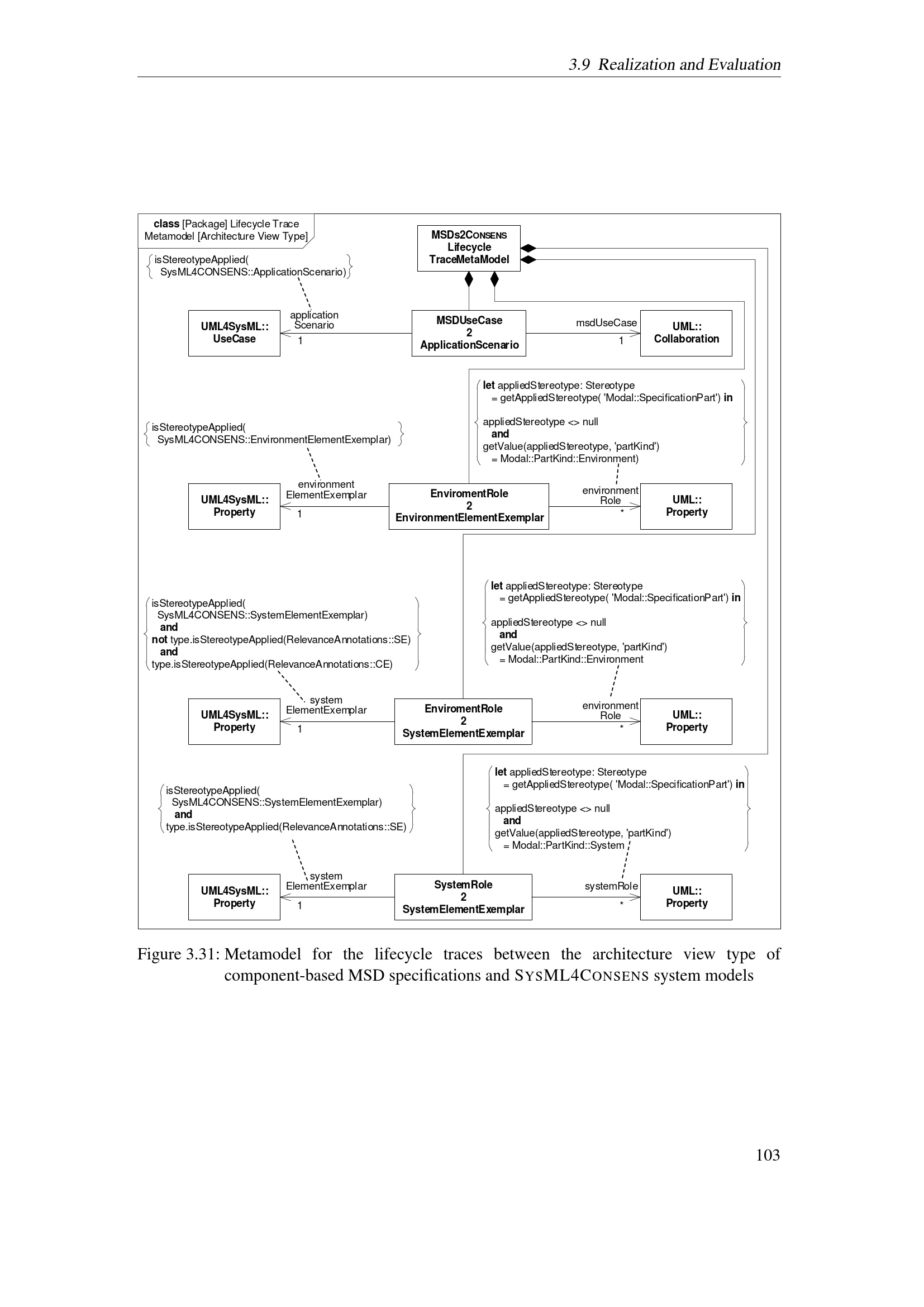
3.9 Realization and Evaluation
3.9.2 Case Study
3.9.2.1 Case Study Context and Cases
Wird geladen ...
Dissertation
Improvement of software requirements quality based on systems engineering / by Jörg Holtmann ; Referees: Prof. Dr.-Ing. Roman Dumitrescu, Prof. Dr. rer. nat. Joel Greenyer
Entstehung
Paderborn
2019
JPEG-Download
verfügbare Breiten
JPEG groß
JPEG original
Seiten an
Seiten aus