Close
Publizieren
Besondere Sammlungen
Digitalisierungsservice
Hilfe
Impressum
Datenschutz
Search Details
Quicksearch:
OK
Result-List
Title
Title
Content
Content
Page
Page
Search Book
Improvement of software requirements quality based on systems engineering
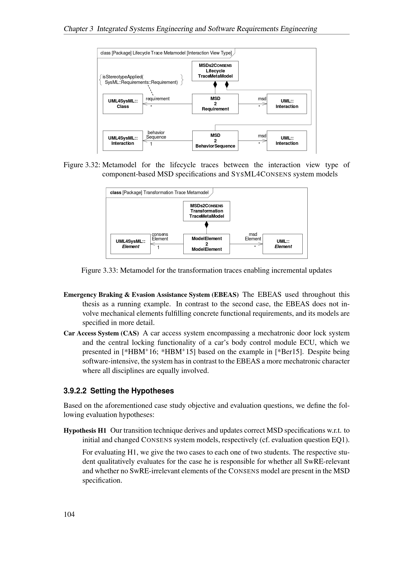
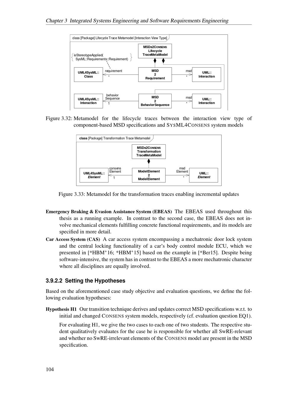
3 Integrated Systems Engineering and Software Requirements Engineering
3.9 Realization and Evaluation
3.9.2 Case Study
3.9.2.2 Setting the Hypotheses
Loading...
Dissertation (PhD)
Improvement of software requirements quality based on systems engineering / by Jörg Holtmann ; Referees: Prof. Dr.-Ing. Roman Dumitrescu, Prof. Dr. rer. nat. Joel Greenyer
Place and Date of Creation
Paderborn
2019
JPEG-Download
avaibable widths
JPEG large
JPEG original
show thumbnails
hide thumbs