Dissertation
Effektivität eines Gangtrainings mit Sonifikation zur Normalisierung des Gangbildes bei Patienten in der orthopädischen Rehabilitation nach endoprothetischem Ersatz des Hüft- oder Kniegelenks / vorgelegt von Juliane Pietschmann, Sportwissenschaftlerin (M.A.) ; [1. Gutachter: Prof. Dr. Thomas Jöllenbeck, 2. Gutachter: Prof. Dr. Jürgen Freiwald, 3. Gutachter: Prof. Dr. Hans-Christian Heitkamp]
JPEG-Download
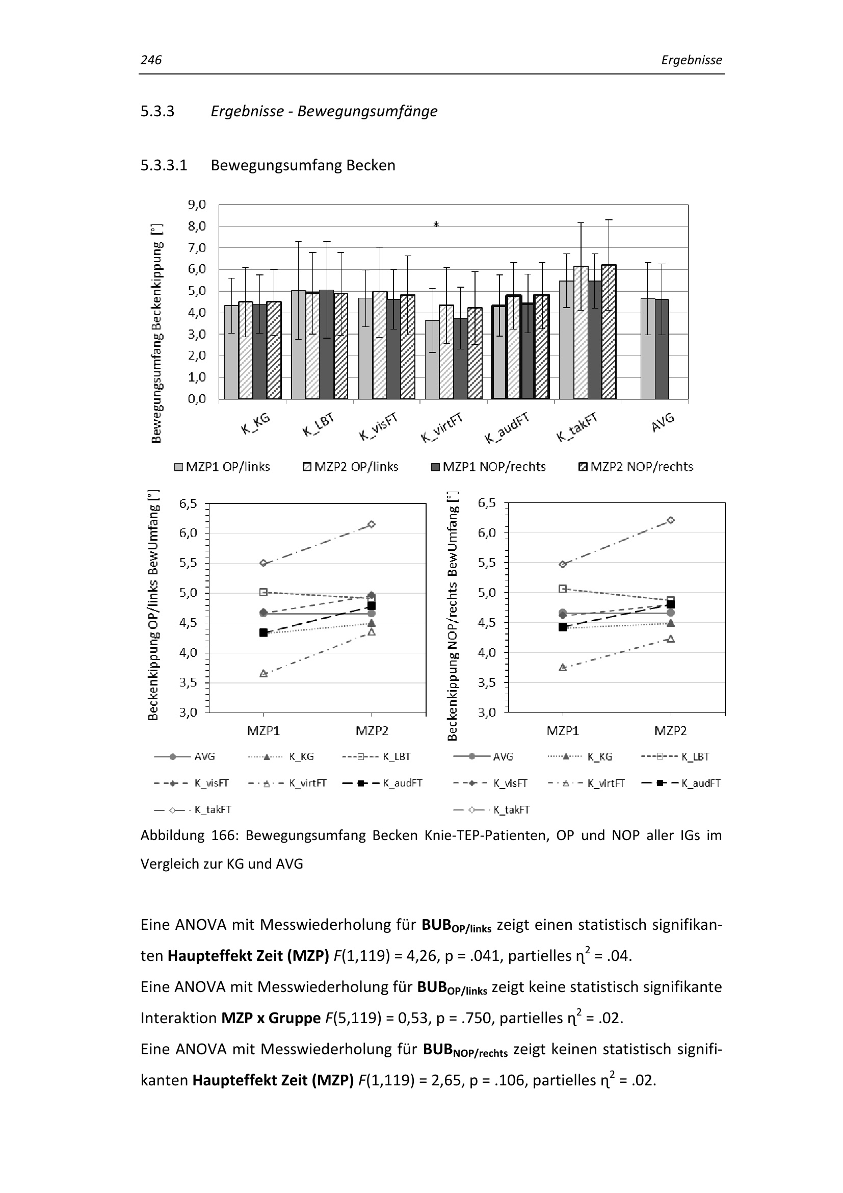
verfügbare Breiten
