Schliessen
Publizieren
Besondere Sammlungen
Digitalisierungsservice
Hilfe
Impressum
Datenschutz
Detailsuche
Schnellsuche:
OK
Ergebnisliste
Titel
Titel
Inhalt
Inhalt
Seite
Seite
Im Werk suchen
Non- and semiparametric methods for surface estimation of functional time series[...]
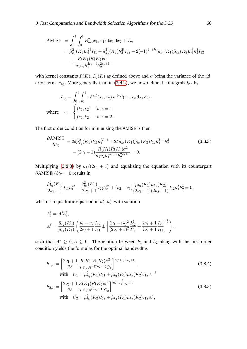
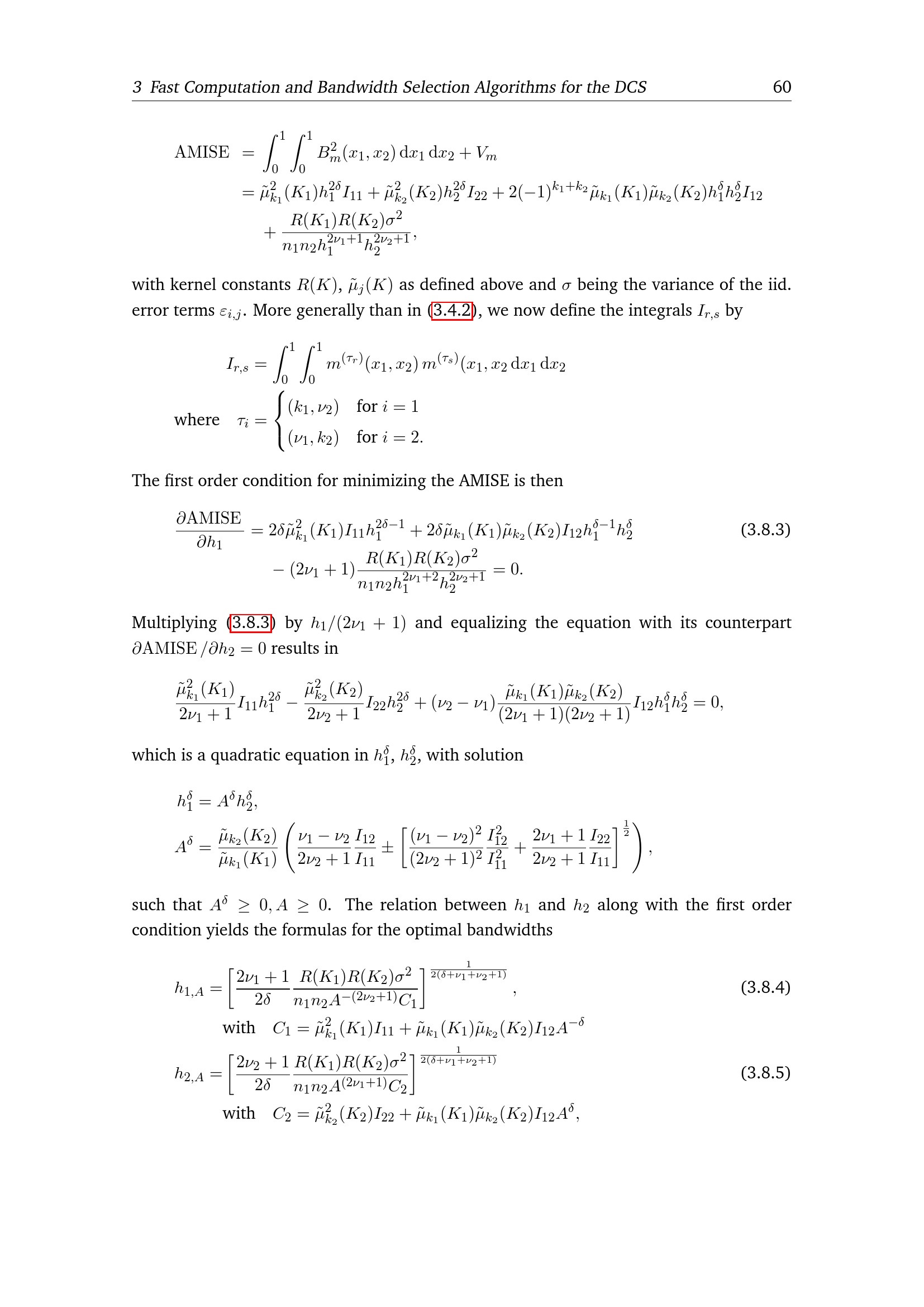
Fast Computation and Bandwidth Selection Algorithms for the DCS
Appendix
Derivation of the Optimal Bandwidths
Wird geladen ...
Dissertation
Non- and semiparametric methods for surface estimation of functional time series on a lattice / von Bastian Schäfer M. Sc.
Entstehung
Paderborn
2022
JPEG-Download
verfügbare Breiten
JPEG groß
JPEG original
Seiten an
Seiten aus