Schliessen
Publizieren
Besondere Sammlungen
Digitalisierungsservice
Hilfe
Impressum
Datenschutz
Detailsuche
Schnellsuche:
OK
Ergebnisliste
Titel
Titel
Inhalt
Inhalt
Seite
Seite
Im Werk suchen
Special values of L-functions
Modification at p
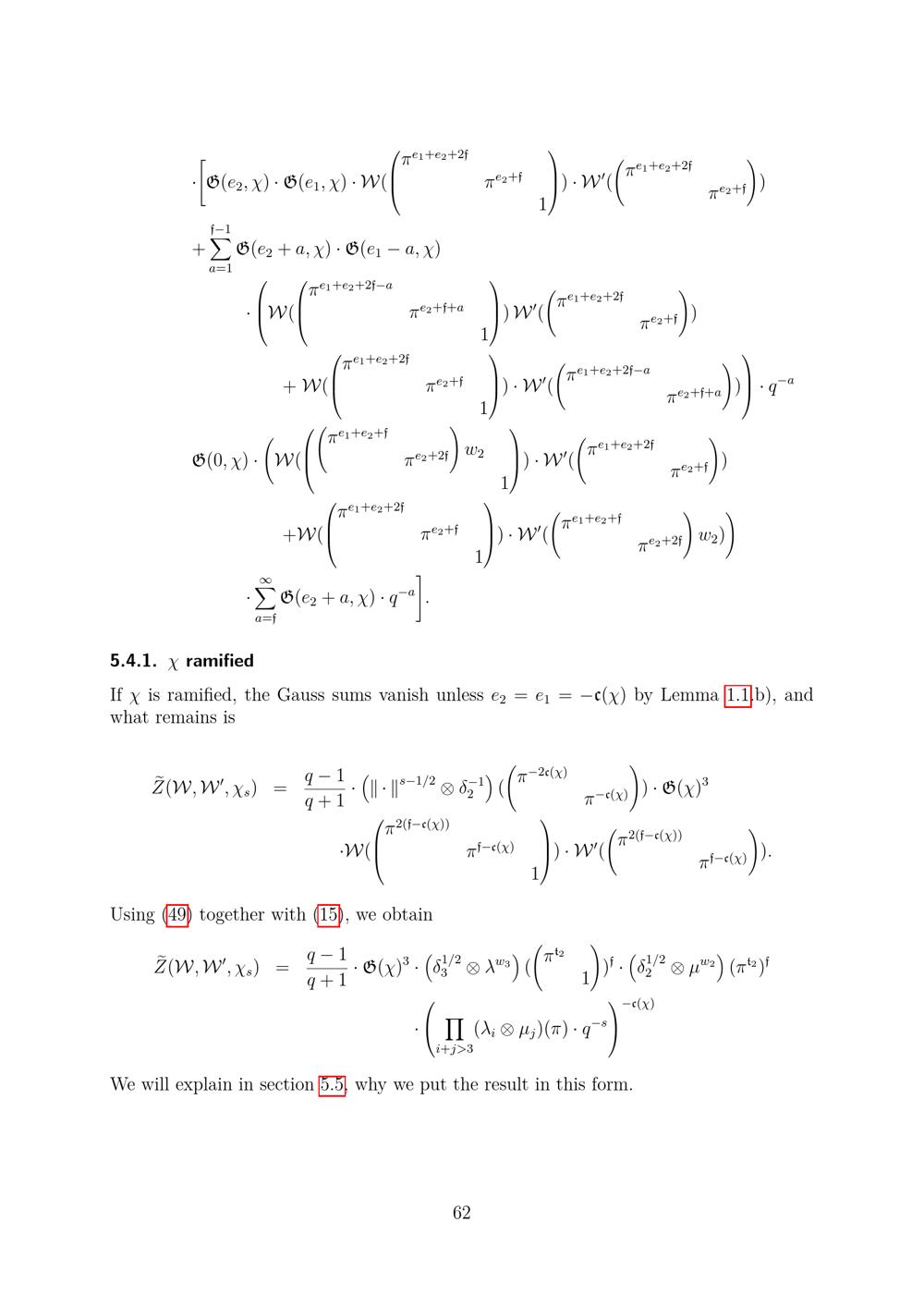
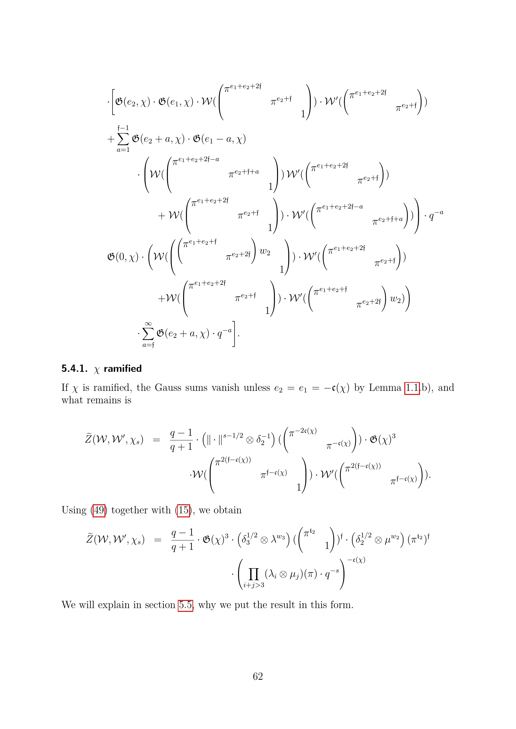
The case n=2
chi ramified
Wird geladen ...
Dissertation
Special values of L-functions / von Martin Barič ; Betreuer: Prof. Dr. Fabian Januszewski
Entstehung
Paderborn
2023
JPEG-Download
verfügbare Breiten
JPEG groß
JPEG original
Seiten an
Seiten aus