Schliessen
Publizieren
Besondere Sammlungen
Digitalisierungsservice
Hilfe
Impressum
Datenschutz
Detailsuche
Schnellsuche:
OK
Titel
Titel
Inhalt
Inhalt
Seite
Seite
Im Werk suchen
Vorausschau und Technologieplanung
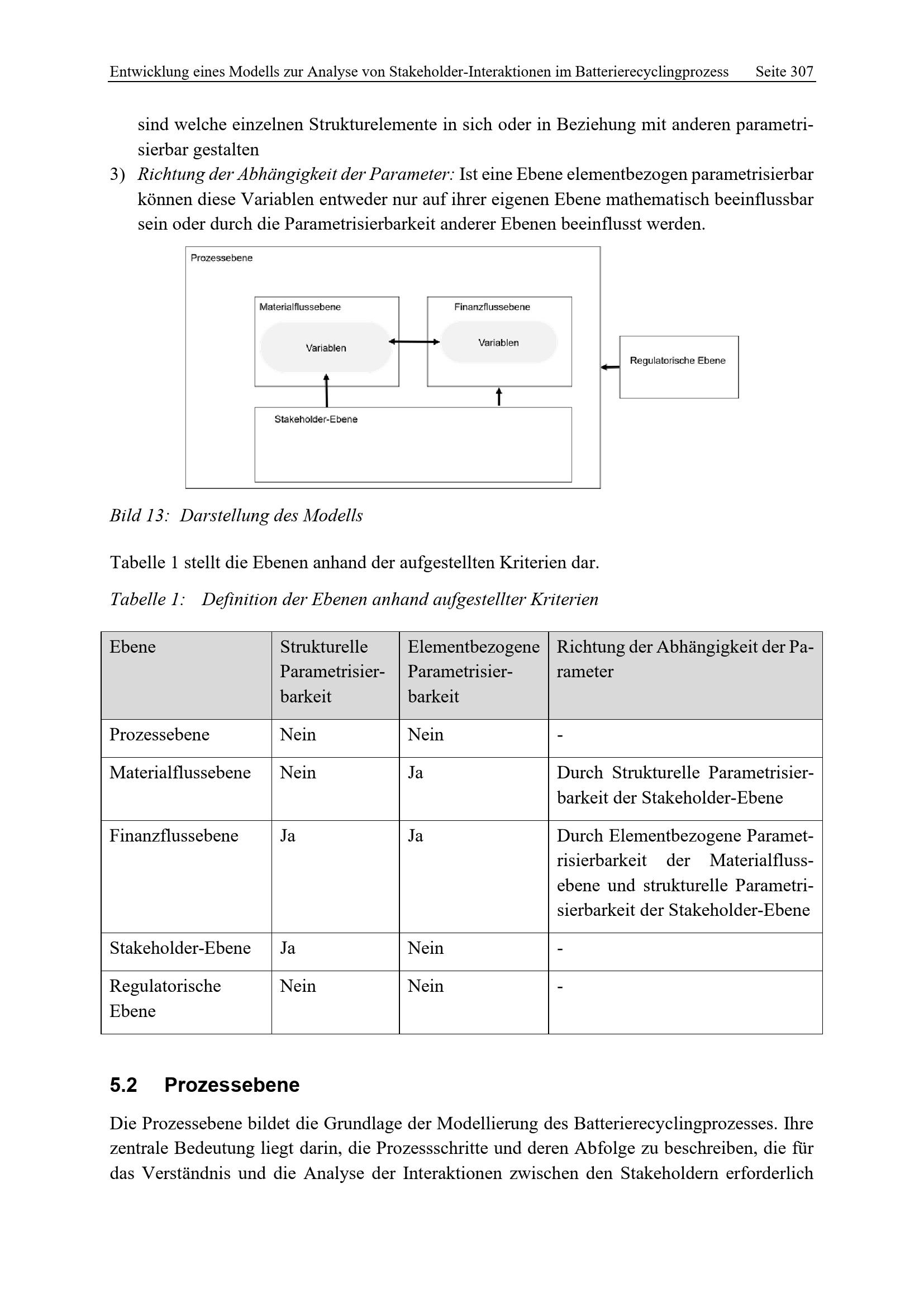
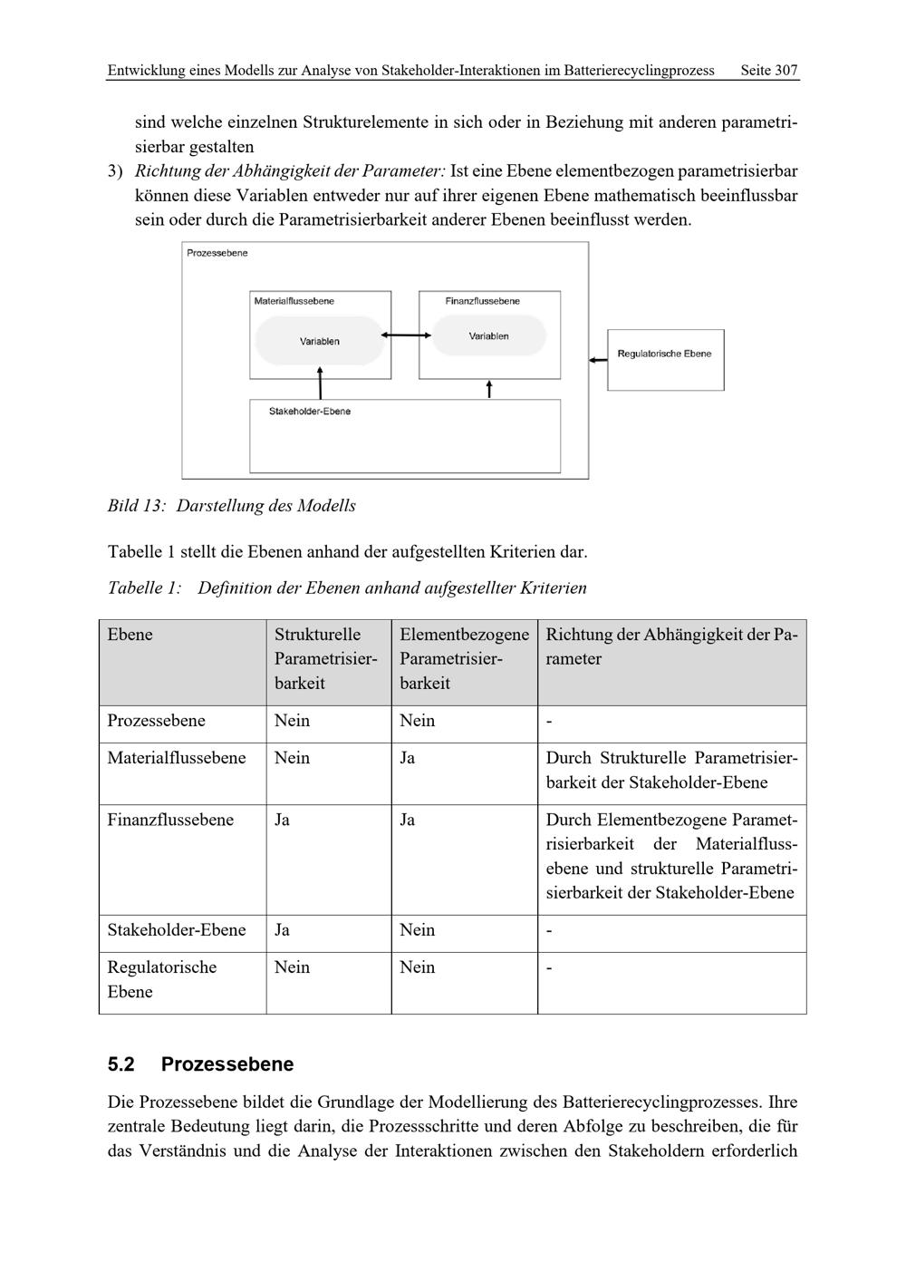
5 Konzeption des Modells
5.2 Prozessebene
Wird geladen ...
Monographie
Vorausschau und Technologieplanung : 18. Symposium für Vorausschau und Technologieplanung, 5. und 6. Dezember 2024, Berlin / Roman Dumitrescu, Katharina Hölzle
(Hrsg.)
Entstehung
Paderborn
[2024]
JPEG-Download
verfügbare Breiten
JPEG groß
JPEG original
Seiten an
Seiten aus