Schliessen
Publizieren
Besondere Sammlungen
Digitalisierungsservice
Hilfe
Impressum
Datenschutz
Detailsuche
Schnellsuche:
OK
Ergebnisliste
Titel
Titel
Inhalt
Inhalt
Seite
Seite
Im Werk suchen
Management of uncertainty and inconsistency in database reengineering processes
APPENDIX B A Catalog of Redesign Transformations
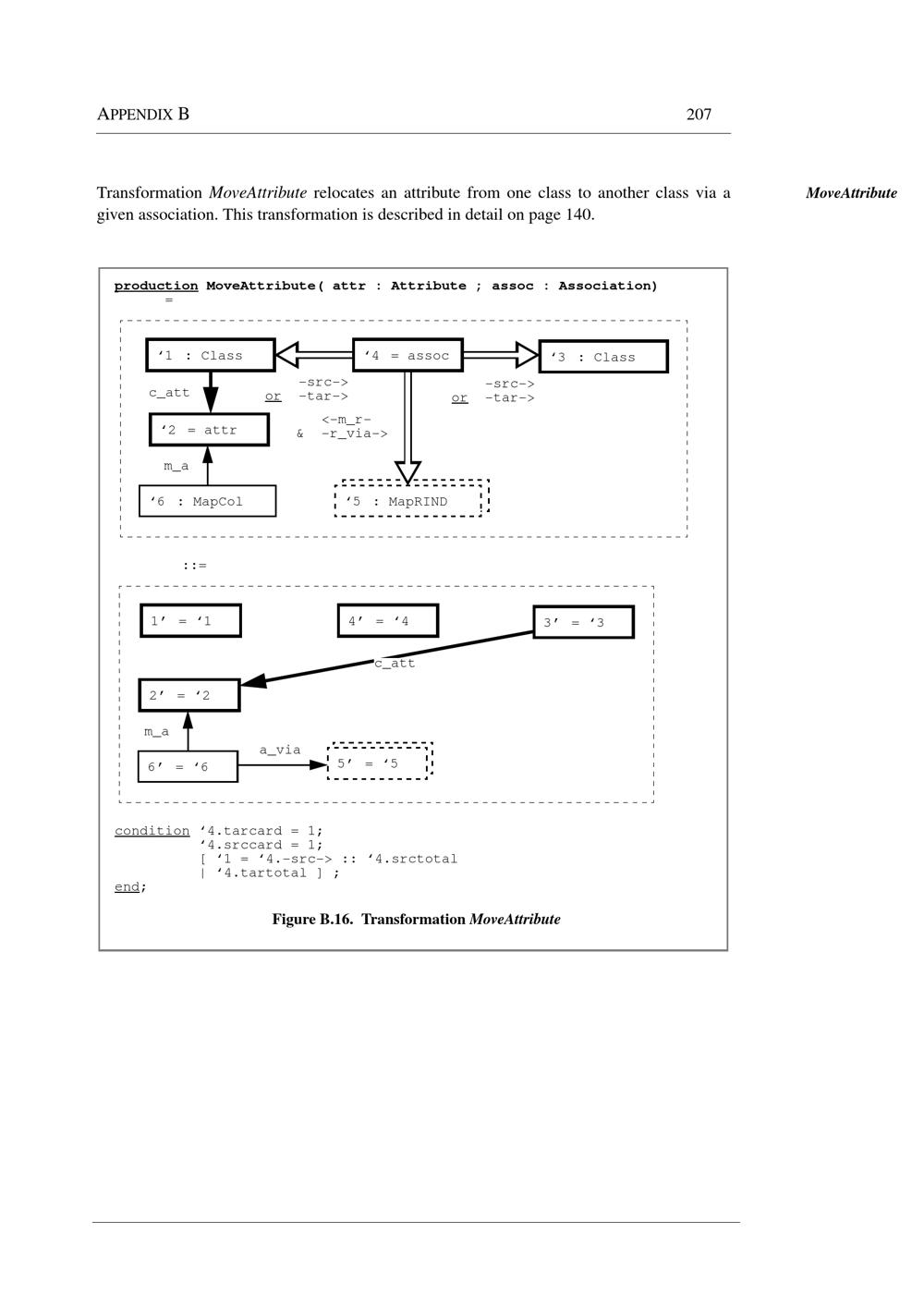
MoveAttribute
Figure B.16. Transformation MoveAttribute
Wird geladen ...
Dissertation
Management of uncertainty and inconsistency in database reengineering processes / Jens H. Jahnke
Entstehung
1999
JPEG-Download
verfügbare Breiten
JPEG groß
JPEG original
Seiten an
Seiten aus