Close
Publizieren
Besondere Sammlungen
Digitalisierungsservice
Hilfe
Impressum
Datenschutz
Search Details
Quicksearch:
OK
Result-List
Title
Title
Content
Content
Page
Page
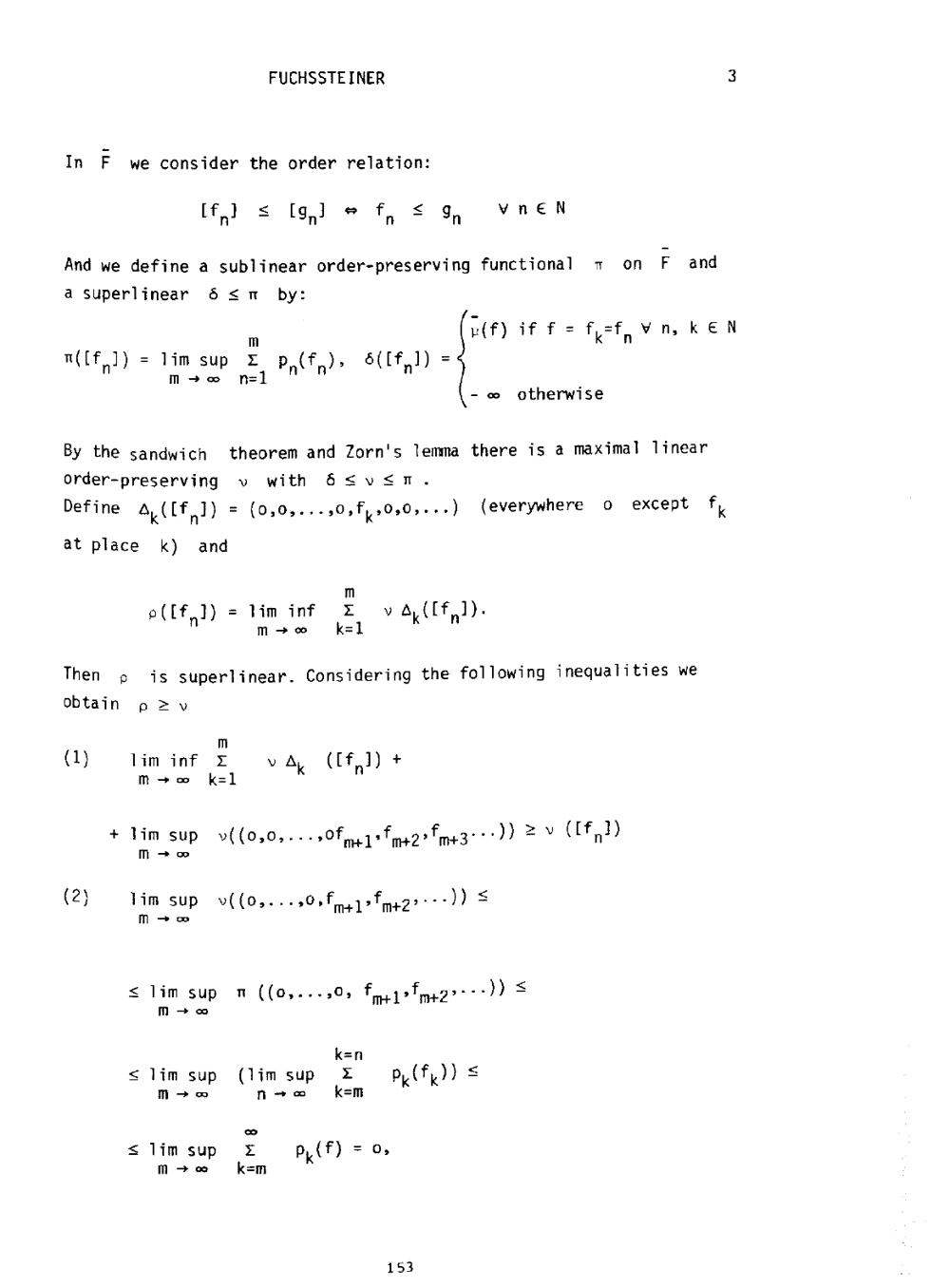
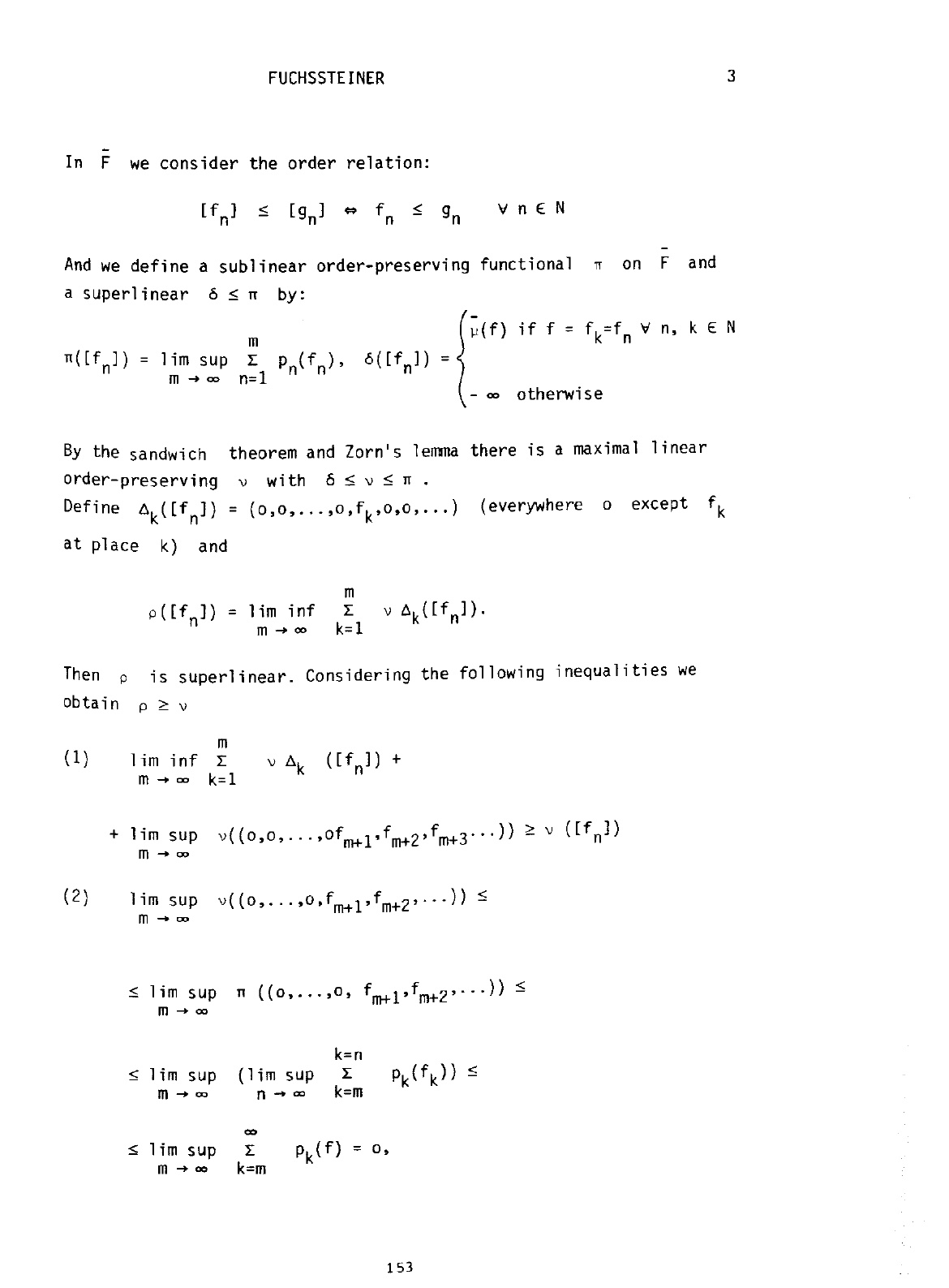
Decomposition theorems
Seite 3
Seite 2
Seite 3
Seite 4
Seite 5
Seite 6
Seite 7
Seite 8
Seite 9
Seite 10
Seite 11
Seite 12
Seite 13
Seite 14
Journal Article
Decomposition theorems
Place and Date of Creation
2009
JPEG-Download
avaibable widths
JPEG large
JPEG original
show thumbnails
hide thumbs