Schliessen
Publizieren
Besondere Sammlungen
Digitalisierungsservice
Hilfe
Impressum
Datenschutz
Detailsuche
Schnellsuche:
OK
Ergebnisliste
Titel
Titel
Inhalt
Inhalt
Seite
Seite
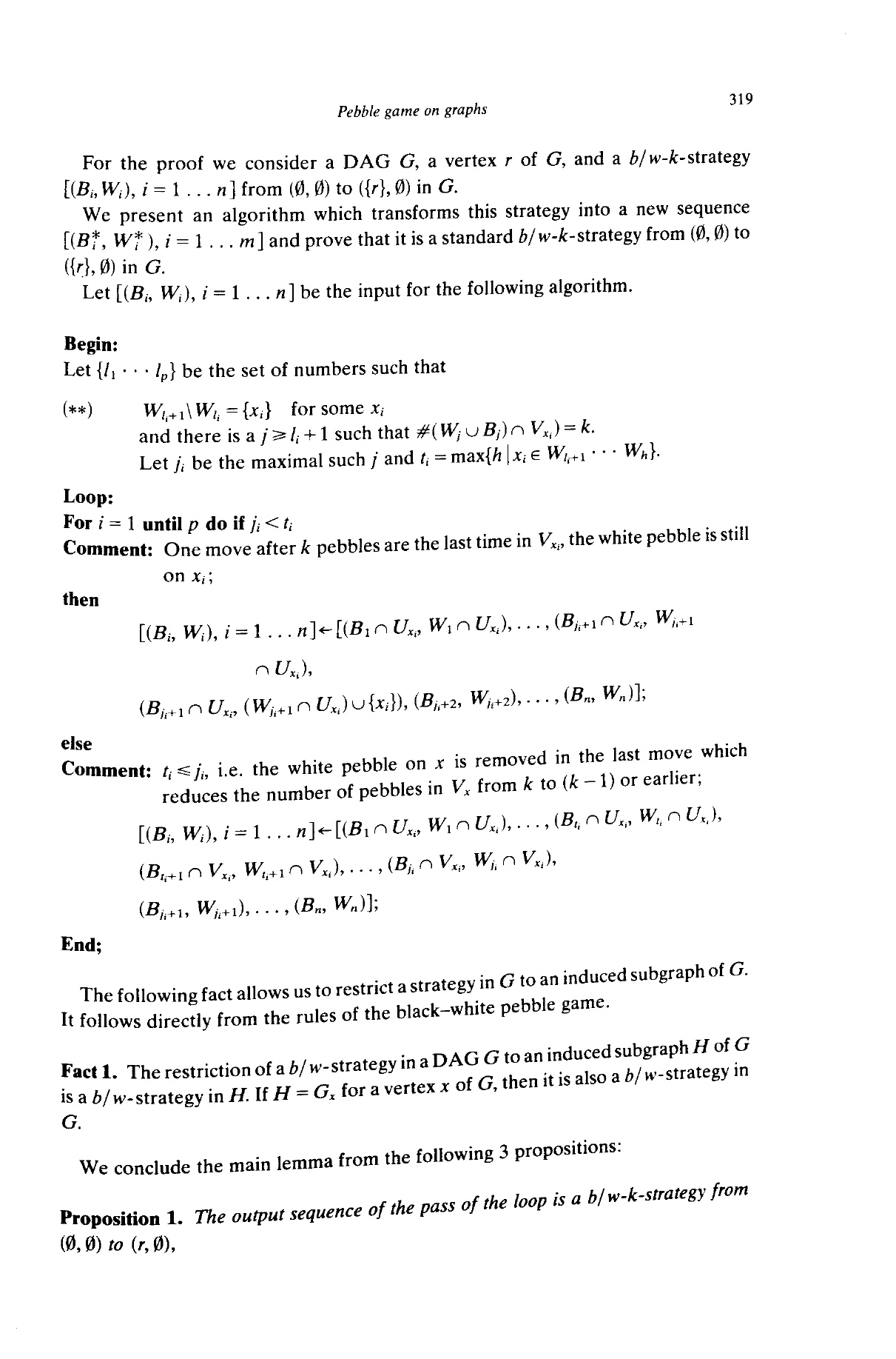
A comparison of two variations of a pebble game on graphs
Seite 5
Seite 2
Seite 3
Seite 4
Seite 5
Seite 6
Seite 7
Seite 8
Aufsatz in einer Zeitschrift
A comparison of two variations of a pebble game on graphs
Entstehung
2009
JPEG-Download
verfügbare Breiten
JPEG groß
JPEG original
Seiten an
Seiten aus