Close
Publizieren
Besondere Sammlungen
Digitalisierungsservice
Hilfe
Impressum
Datenschutz
Search Details
Quicksearch:
OK
Result-List
Title
Title
Content
Content
Page
Page
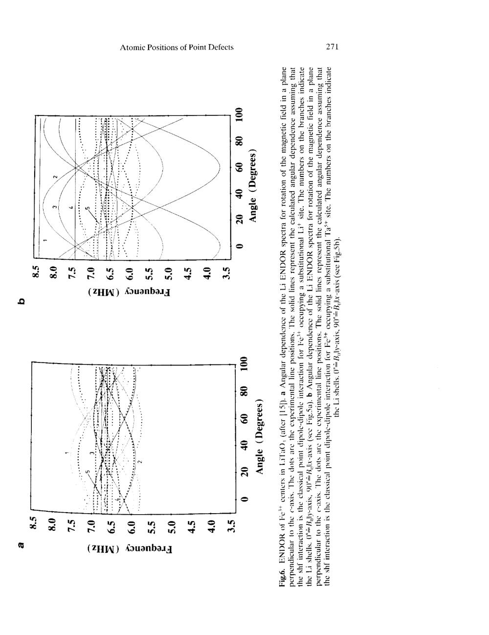
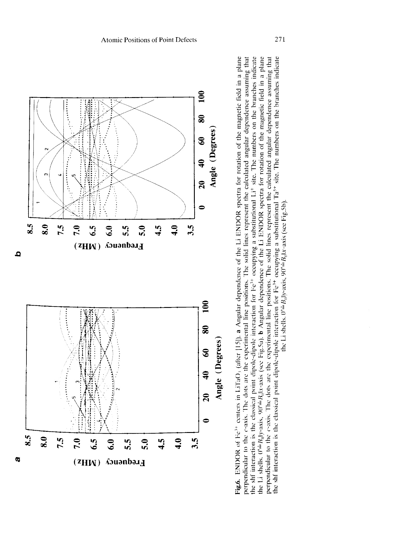
Determination of atomic positions of point defects in solids by ENDOR
Seite 15
Seite 2
Seite 3
Seite 4
Seite 5
Seite 6
Seite 7
Seite 8
Seite 9
Seite 10
Seite 11
Seite 12
Seite 13
Seite 14
Seite 15
Seite 16
Seite 17
Seite 18
Seite 19
Seite 20
Seite 21
Seite 22
Seite 23
Seite 24
Seite 25
Journal Article
Determination of atomic positions of point defects in solids by ENDOR
Place and Date of Creation
2009
JPEG-Download
avaibable widths
JPEG large
JPEG original
show thumbnails
hide thumbs