Close
Publizieren
Besondere Sammlungen
Digitalisierungsservice
Hilfe
Impressum
Datenschutz
Search Details
Quicksearch:
OK
Result-List
Title
Title
Content
Content
Page
Page
Search Book
Shift currents in bulk GaAs and GaAs quantum wells analyzed by a combined approach[...]
Additional Theory Considerations
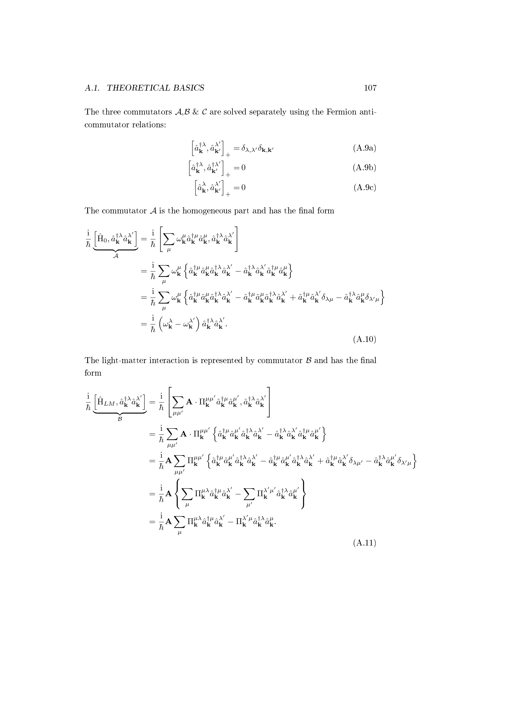
Theoretical Basics
Semiconductor Bloch Equations
Loading...
Dissertation (PhD)
Shift currents in bulk GaAs and GaAs quantum wells analyzed by a combined approach of k.p perturbation theory and the semiconductor Bloch equations
Place and Date of Creation
Paderborn
2016
JPEG-Download
avaibable widths
JPEG large
JPEG original
show thumbnails
hide thumbs