Schliessen
Publizieren
Besondere Sammlungen
Digitalisierungsservice
Hilfe
Impressum
Datenschutz
Detailsuche
Schnellsuche:
OK
Ergebnisliste
Titel
Titel
Inhalt
Inhalt
Seite
Seite
Im Werk suchen
Spectral correspondences for locally symmetric spaces - the case of exceptional [...]
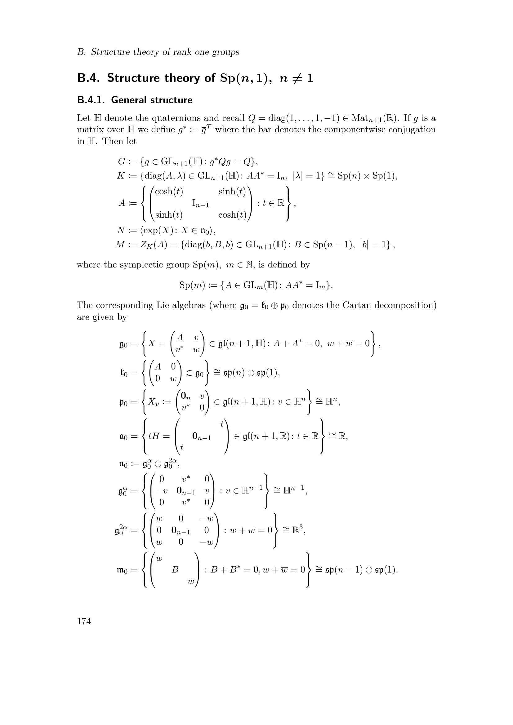
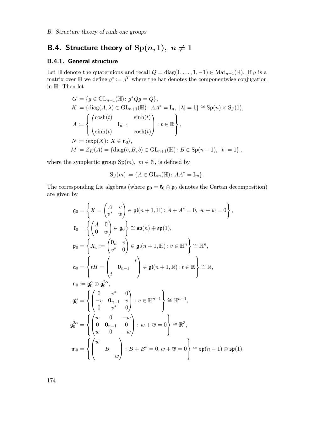
Structure theory of rank one groups
Structure theory of Sp(n,1), n!=1
General structure
Wird geladen ...
Dissertation
Spectral correspondences for locally symmetric spaces - the case of exceptional parameters / von Christian Arends, unter der Betreuung durch Prof. Dr. Joachim Hilgert
Entstehung
Paderborn
2023
JPEG-Download
verfügbare Breiten
JPEG groß
JPEG original
Seiten an
Seiten aus